Legal Helpers Debt Resolution Contract Review. Is This Really The Best Deal Possible?

A tipster (send in your tips here) sent in a copy of what appears to be an agreement between a consumer and Legal Helpers Debt Resolutions Services. – Source

What follows are just my observations of some of the pages of this agreement. You may view the entire agreement here.



Click on image for larger view.

The budget looks especially light and while there is a car involved, as evidenced by the amount for auto insurance, there appears to be nothing for gasoline or maintenance of the vehicle. There is no amount specified for miscellaneous expenses. I’ve never met anyone that did not spend some money for miscellaneous expenses.



Click on image for larger view.

Client has agreed to enroll in LHDR’s Debt Negotiation program to resolve Client’s unsustainable unsecured debt burden (the “Project”).

Is the debt unsustainable based on the budget and the fact a number of the creditors are collection companies and most likely not getting monthly payments at this time?

The scope of engagement says “LHDR structures its practice as a group practice. LHDR does not guarantee any minimum level of participation in a case by any individual employee, member, attorney, paralegal, or partner of the firm.”

This appears to say that nobody is obligated to participate in the case if they don’t want to.

In the even that Client is sued by a creditor on one or more of the Enrolled Debts and such lawsuit(s) was served on the Client on or after the effective date of this Agreement, LHDR will provide litigation support services for Client to facilitate a settlement of the debt at issue within LHDR’s Settlement Standard (“Litigation Support Services”).

The agreement describes the actions that may be taken on behalf of a sued client.

  1. The debt will be prioritized;
  2. a 65% settlement will be attempted; (It appears to be the obligation of the consumer to pay the settlement even if there are insufficient funds accumulated in the savings account at the time of settlement.)
  3. settlement offers will be communicated to the lawyer suing client;
  4. filing responsive pleadings or other documents LHDR determine are warranted;
  5. representing client in required court hearings; (Not sure what that includes. What is a “required court hearing?”)
  6. telling client not to fight the lawsuit or enter into a judgment; and,
  7. represent client at trial in cases where LHDR can’t get a settlement of 65% of the debt (including principal, interest, costs, penalties, and late fees) and client has a valid legal defense against allegations made in the lawsuit. (I don’t think voluntarily agreeing to stop paying the creditor is a valid legal defense. Do you?)


Click on image for larger view.

The actual settlements shall be subcontracted out to third parties including negotiations with creditors and collectors and certain customer support responsibilities.

This appears to say that work may not be performed by attorneys and may be subcontracted out to other groups other than LHDR. The subcontracted service appears to be Legal Services Support Group (LSSG) as you will see on the next page.



Click on image for larger view.

A fee of 15% of the debt enrolled will be paid to Legal Services Support Group (LSSG) who do not provide legal services.

There may be no attorney-client relationship between Client and LSSG in regard to these services and any specific communications between client and LSSG may not be protected by attorney-client privilege.

Litigation fees and costs shall be the responsibility of the client, “including the payment of any court filings fees or any other fees and costs associated with the litigation. In the event a litigated matter proceeds to trial, Client shall also be required to pay the costs associated with LHDR’s trial preparation, which the parties hereby agree in advance shall be set at $350 per trial (the “Trial Cost”).

So it appears the upfront retainer paid does not cover all possible costs of legal representation.



Click on image for larger view.

If LHDR negotiates a settlement with a 35% reduction of the debt and the client does not have the funds on hand to settle the debt the agreement with LHDR may be cancelled and no refund given. It seems that in the first few years the amount of money saved in the reserve funds would be insufficient to be able to accept many, if any settlements.

This minimum standard provision does not apply to any Client’s individual accounts accepted into the debt resolution plan which have balance transfers, cash advances, accounts initially accepted with balances fewer than one thousand dollars or where there has been a lawsuit filed on such individual account.

In this client agreement the person has 16 debts they are including but 10 of those debts would appear to fall outside the minimum standard provision for service. That’s 62% of the debts for which there is no performance guarantee.

The Agreement can be cancelled by LHDR if the Client fails to cooperate with all reasonable requests of LHDR, fails to pay additional legal fees and service costs, fails to pay additional court fees and trial costs, fails to accept reasonable settlement offers, or client does not agree to let LHDR withdraw from litigation representation.



Click on image for larger view.

Not engage in debt resolution discussions with creditors and collection agencies who call them.

LHDR does not want the Client to communicate with their own creditors.

Notify LHDR in writing by email, email, or fax if Client directly receives settlement offers from any Creditors.

Even if the creditor contacts the Client directly and makes an offer, the Client will still owe the full fee due to LHDR on this debt.

Expect that, on occasion, personal involvement in the negotiations and settlement process is needed as part of the representation and such personal involvement does not change the terms, including fees, in this Agreement.

So it appears even if Client has to negotiate their own settlement or participate in settlement negotiations the full fee will be due LHDR.



Click on image for larger view.

LHDR’s debt negotiation may not prevent creditor or collection agency harassment, nor prevent phone calls on behalf of creditors or collection agencies to Client;

Client will continue to incur late fees and penalties on the accounts;

Client’s participation in the program may adversely affect the client’s credit score;

Enrolling in the program will not stop collection calls or calls from creditors, fees and penalties will continue to be added to accounts and the balances will grow, and the program will hurt the credit score.

Client’s nonpayment, minimal payments or settlement payments to creditors may result in derogatory credit information being transmitted to the major credit reporting agencies…”

Client’s nonpayment to creditors may result in a creditor filing a lawsuit to recover the amount owed to them and the timing of such lawsuit may impair LHDR’s ability to settle the debt since this accomplishment is contingent upon, among other things, the amount of funds Client has available for such settlement.

So participation in the plan will result in bad credit and can result in the consumer being sued.



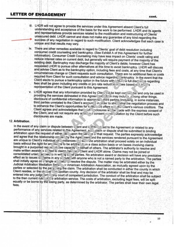
Click on image for larger view.

LHDR cannot and does not make any guarantee of any kind regarding the success of any negotiation in regard to such modification.

No guarantee.



Click on image for larger view.

The proposed 42 month program will cost the consumer:

Retainer: $900
Service Fee (15%): $2829.75
Legal Admin Fee $50 per month: $2,100
Banking Fee (10.25) per month: $430.50
Total Fees : $6,260

The total fees paid represent 33% of the enrolled debt. Remember that 62% of the enrolled debt does not fall under the minimum performance standard, but if it did the client should expect the following results:

Original Debt: $18,865
Performance Standard Reduction of 35% of the debt: -$6,602
Debt Paid Sub-Total = $12,263

But if we add back in the cost of the service the total debt repaid would be $18,523. That would represent a savings of 2% off the original balance.

But let’s not forget that the original balance is going to continue to accrue fees, interest and penalties until it is settled. Some in the debt settlement industry project that can increase balances by as much as 20% but for the calculation below I’m only going to assume it increases the balance by half that amount.

Original Debt: $18,865
Fees, Interest, Penalties 10% increase: $1,886
Total Debt Settled = $20,751
Performance Standard Reduction of 35% of the debt: $7,262
Debt Paid Sub-Total = $13,489

So let’s add back in the fees of $6,260 which would give us a total repaid of $19,749. This represents an amount more than the original balance.

If we project that the consumer was able to get reductions of 50% on all included debt the program would cost $16,694 and represent a savings of 12% off the total debt owed and would take 42 months to achieve.

If the same client was eligible for a Chapter 7 bankruptcy to resolve unsustainable and untenable debt it would cost about $2,000, take three months, and result in a 100% elimination of debt.

Do You Have a Question You'd Like Help With? Contact Debt Coach Damon Day. Click here to reach Damon.

These projections do not include any of the additional court costs or legal fees that might be charged along the way.

According to the fee schedule, at the end of the first year of participating in this program the consumer would have only $1,379 saved towards settlements.



Click on image for larger view.

Legal Helpers Debt Resolution is using Global Client Solutions as their third party escrow company.

Summary

If there is anything you feel I did not interpret correctly or unfairly I invite you to post your assessment of that section in the comments below.

If any of the images are difficult to read you may want to look at the original source document.

So what is your assessment of this debt relief agreement? Is this a good offer for consumers to explore to get out of debt?


Damon Day - Pro Debt Coach

I can always use your help. If you have a tip or information you want to share, you can get it to me confidentially if you click here.

author avatar
Steve Rhode Debt Coach and Author
Steve Rhode is the Get Out of Debt Guy and has been helping good people with bad debt problems since 1994. You can learn more about Steve, here.

28 thoughts on “Legal Helpers Debt Resolution Contract Review. Is This Really The Best Deal Possible?”

  1. Global Client Solutions and World Law — My experience.
    First OFF stay away from both of these companies.
    I had two debts tht I signed upe with GCSolutions and World Law.  Global Client Solutions handles your money and World Law is suppose to provide legal assistance.
    For the first year I paid a monthly customer legal fee of 276.5 0 another customer fee of 84.95 and a transaction fee for a total of $4,450.80 in addition I was paying extra each month to build up money so Wolrd Law could make a money buyout.  After 12 months the legal fee of $276.50 ends but the $9.45 and $84.95 continue to be charged each month.  Some months I paid $1,000 extra.  After going to court twice and being found guilty on the second account World Law Settled my first date of $8,000 fo 6,000 and court costs.  The second acount has not been settled and World Law will  not even talk to the bank until I have 12,000 dollars in my Global Client Solutions Account.  Per the contract I wrote World Law a letter stating I wanted to end the contract. 
    Another issue, they want your bank account so they can withdraw money each month…DO NOT DO IT.  I canceled my GreenDot Bank Account after six months with Global and was sending money orders.  To this date Global is still trying to pull out money from a bank accont closed over a year ago.  I was scheduled to go to court for the second bill, World Law is suppose to call you 7 to 10 days prior to going to court, they did not call me, even after I left messages on their Lawyer hotline and called customer reps who are a joke.  During this year and a half I went through 5 or 6 customer legal assistance handling my case.  When I called last the lady was being fed info to say to me as I could hear a man in the background telling her what to say.  Your monthly call…. yes they have to call you once a month.  But if they call you and you do not answer that counts as the one phone call.  I requested a copy of my file they have to include all communications with the bank and have not received anything.  Finally, my second account was for 29,000.  I called the Law firm who was representing my old bank and I worked out a 12,000 buyout…. yep, did it myself and the buyout will be complete in less than 24 months.  So, BEWARE people of these rip off artists.  Working out deals and payouts is not hard, use proper language, be positive and show that you want to take care of the issue as soon as possible.  Your creditors would rather settle out of court at a reduced amount rather than not getting anything.  If you are with Global and World Law Call your bank and tell them to put a Freeze on the monthly withdrawl….  Within days of stopping payment your phone will light up like a Christmas Tree.  Best of Luck and God Bless.

    Reply
  2. Exposing the truth wrote….”The truth of the matter is that when being sued by your creditors there’s absolutely no need for an attorney, bottom line you signed a contract, made payments and ultimately fell behind on your obligations; meaning you can’t go into court, lie and say the debt doesn’t belong to you”.

    Really? So consumers should just do nothing when they get sued and take a judgment? Filing an answer allows consumers time to accumulate money in hopes of settling the lawsuit. You have made several comments that consumers do not need debt settlement. Keep in mind that while you may be confident in yourself that you can negotiate your own debt the majority of consumers cannot handle the emotional stress that comes along with it. Some do, and good for them. I can do my own taxes but I’d rather a CPA handle it and not be bothered; but to say that Debt Settlement is not needed shows a true lack of understanding. Can I ask the logic behind your statements?

    Reply
  3. At the end of the day. You DO NOT need debt settlement, truth is if you wait long enough your creditors will begin sending you settlement offers in the mail for as low as 25% of the balance. Advice – create a budget for yourself and set aside an affordable amount every month, i.e. $200, so that when you begin receiving offers you’ll have a means of accepting.

    You will not be able to work with your creditors for the first 1-3 months, in the 4-6 month mark they’ll begin offering “hardship programs,” (Reduced or 0% interest for a fixed period of time, typically 6-12months), in about 8-12 months time you’ll start to see settlement offers come in…The way you can figure the percentage’s for example:

    Say you owe : $3,265.79
    You receive an offer for : $1,600.24

    Take : $1,600.4/$3,265.79 = 0.49 or 49%

    Keep in mind when settling with your creditors, even when the creditor has provided the offer to you, you can still negotiate. If you feel its too high, don’t feel pressured into accepting, you can always work out a payment plan, however the best of settlements come in the form of a lump sum (one payment).

    Here’s a breakdown of the typical percentages, accounts are settled at with the following creditors:

    BofA : 20%-40%
    Barclay’s : 35%-50%
    Chase : 40%-65%
    AMEX : 45%-80%
    Citi : 40%-65%
    GEMB : 35%-50%

    Reply
  4. You might want to check into a company by the name of Consumer Affairs Processing/Legal Center, Lynch Financial, Financial Solutions Consumer/Legal/Processing Center, possibly now calling themselves Legal Services Support Group, located in Irvine, CA, 800-793-2994 – President: Thomas Lynch. This was the actual debt settlement company that approached LHDR with the idea of the attorney network. Obviously in greed they’ve assesed many a fees to the clients whom enroll in their debt resolution program. Funny enough, they charge $50.00/mo for a “Legal Administration Fee,” I can assure, LHDR has absolutely no involvement with the clients file unless the client pays an additional “trial preperation fee” with regards to a summons. The truth of the matter is that when being sued by your creditors there’s absolutely no need for an attorney, bottom line you signed a contract, made payments and ultimately fell behind on your obligations; meaning you can’t go into court, lie and say the debt doesn’t belong to you. The same result will come about regardless of attorney representation – a Judgement saying you “owe” the money. I think its obvious as to the greed scam taking place, we just may see LHDR on the show “Greed” someday.

    Reply
  5. You might want to check into a company by the name of Consumer Affairs Processing/Legal Center, Lynch Financial, Financial Solutions Consumer/Legal/Processing Center, possibly now calling themselves Legal Services Support Group, located in Irvine, CA, 800-793-2994 – President: Thomas Lynch. This was the actual debt settlement company that approached LHDR with the idea of the attorney network. Obviously in greed they’ve assesed many a fees to the clients whom enroll in their debt resolution program. Funny enough, they charge $50.00/mo for a “Legal Administration Fee,” I can assure, LHDR has absolutely no involvement with the clients file unless the client pays an additional “trial preperation fee” with regards to a summons. The truth of the matter is that when being sued by your creditors there’s absolutely no need for an attorney, bottom line you signed a contract, made payments and ultimately fell behind on your obligations; meaning you can’t go into court, lie and say the debt doesn’t belong to you. The same result will come about regardless of attorney representation – a Judgement saying you “owe” the money. I think its obvious as to the greed scam taking place, we just may see LHDR on the show “Greed” someday.

    Reply
    • Exposing the truth wrote….”The truth of the matter is that when being sued by your creditors there’s absolutely no need for an attorney, bottom line you signed a contract, made payments and ultimately fell behind on your obligations; meaning you can’t go into court, lie and say the debt doesn’t belong to you”.

      Really? So consumers should just do nothing when they get sued and take a judgment? Filing an answer allows consumers time to accumulate money in hopes of settling the lawsuit. You have made several comments that consumers do not need debt settlement. Keep in mind that while you may be confident in yourself that you can negotiate your own debt the majority of consumers cannot handle the emotional stress that comes along with it. Some do, and good for them. I can do my own taxes but I’d rather a CPA handle it and not be bothered; but to say that Debt Settlement is not needed shows a true lack of understanding. Can I ask the logic behind your statements?

      Reply
      • I believe you misunderstood what was stated in my previous post, I’m not advising people to just sit back and obtain a “default judgment.” each individual needs to decide what’s in their best interest. All I stated was that there is NO NEED FOR AN ATTORNEY, simply put its a waste of money! I agree that filing an answer with the court “MAY” allow you to time to accumulate funds and potentially work out some form of payment plan based on your hardship. However, if you’ve been saving funds from the time you fell behind on your debt you can always stop the law suit as well as the added interest and court costs if able to either settle the account, typically 65-80% of the current balance, or can put a Down Payment and monthly payments for the full balance.

        Having been in the Debt Settlement industry for over 5 years and having carried my fair share of debt, I personally feel that obtaining Debt Settlement Services is not a necessity. For those who cannot handle the emotional stress, if you feel that being provided services would make things easier on one then by all means; but quite frankly if one cannot handle the emotional stresses than perhpas a Consumer Credit Counseling program would work best. In my experience emotional stress will be felt with and/or without a program.

        Obtaining the services of a Debt Settlment company truly does not lessen the emotional stresses as there are rules and regulations that enable the first line creditor to attempt to collect on the debt that a Debt Settlement company CANNOT STOP. Such as the ability to contact you as many times a day within the hours of 8:00 am – 9:00 pm, Monday – Sunday. The debt settlement company can send the creditor a Cease & Desist Letter to “REQUEST” they stop the calls, however by law they have the ability to continue their efforts. Wherein the excessive phone calls, messages, threats and mailings are still first received by the consumer, initially causing emotional stress.

        The exception to this rule is the state of CA, which fortunately is protected by the Rosenthal Act, which requires one to write the original creditor requesting Cease & Desist of all Contact via phone to your home, place of employement and including but not limited to friends and/or fiamily, must send via your local Post Office, Certified Mail with Return Receipt. Once received by the creditor the Return Reciept will be mailed back which you’ll want to maintain. Reason being, if the creditor puts in a phone call to you after this letter has been received you are entitled to file a FDCPA violation, in which you may be awarded up to $1,000.00 per vilation/phone call. (FREE assistance is available)

        The bottom line if you want to settle your own debt its really quite simple, avoid answering the phone for 5-6 months (Almost ALL Debt Settlement companies advise you to do this), create a budget to set aside a fixed monthly amount (i.e. $200.00), however its STRONGLY ADVISED that you save as much as possible so that when you start receiving offers in the mail, typically when your accounts are at about 150-180 days past due, you’ll potentially have the means of accepting.

        As for negotiating your own debt, stress your hardship and when asked how much you have available, provide no more than 25% of the current balance, for example:

        Current Balance is $10,000.00

        Offer : $1,800.00 – $2,500.00

        They’ll typically either accept or counter offer. If you don’t have a calculator available inform them that you’re not quite sure wether you’ll be able to accept but will discuss this with some friends and family members to see what additional funds you may be able to come up with and will contact them back at a later time and date to inform. If the offer is at 40% and you have the means of accepting, go ahead and get it done; however if the offer exceeds 40%, its probably best to hold off till a better offer is presented, unless for example they offer a 45% settlement in 8-10 payments that are again, within your means.

        Word of advice, unless you receive an unbeatable offer on a smaller account at 25% or less, its best to resolve your largest balances first, as these would be the most apt of being pursued through legal action.

        **ALWAYS MAKE SURE THAT WHEN YOU COME TO AN AGREEMENT WITH ANY ONE OF YOUR CREDITORS THAT YOU GET THE OFFER IN WRITTING BEFORE MAKING A PAYMENT, I ALSO ADVISE THAT YOU CONFIRM WHETHER OR NOT A SETTLEMENT “PAID” LETTER WILL BE AUTOMATICALLY ISSUED OR IF THIS IS SOMETHING YOU’LL NEED TO CALL BACK FOR, BEST TO KEEP RECORD OF EVERYTHING**

        Note that any debt forgiven in excesses of $600.00 obligates the creditor to provide you with a 1099C Form which is considered as additional income and must be filed with your taxes, meaning you may be obligated to pay taxes on the forgiven debt. However, you may be eleviated of your obligation to pay taxes by filing an IRS 982 Form, this is something you’ll want to discuss with your tax preparer.

        Reply
  6. you could a performance based company… AND if you really want the legal representation you could pay for the lawyer outside the program and still pay way less.

    Reply
  7. How to throw your money away with LHDR? According to their contract here, client owes $18,865.
    Month 1 -9 Client Escrow Savings =$808.83
    Month 1 -9 Trust Account Fees =$92.25
    Month 1- 9 LHDR JUNK Fees Split to the world =$3068.37
    Month 10 -18 Client Escrow Savings =$1708.83
    Month 10 -18 Trust Account Fees =$92.25
    Month 10 -18 LHDR JUNK Fees Split to the world =$1359.54
    So 1st 18 months a client enrolls with LHDR they will have saved in their escrow for future settlement funds =$2517.66 divide 18 payments =$139.87 a month worth of savings to pay off $18,865 Total Debt.
    1st 18 Months LHDR Junk Fees=$4,427.91- NOT A GOOD DEAL PEOPLE!
    SMART DEAL – SAVE YOUR MONEY YOURSELF – $351.18 X 6 =$2358. IF YOU HAVE 4 CC TOTALLING $18,865, EVERY SIX MONTHS YOU SAVE ON YOUR OWN YOU CAN TRY OFFERING YOUR CREDITOR AT 50%. If you don’t have the time or knowledge than find a PERFORMANCE MODEL DS COMPANY THAT WILL ONLY CHARGE YOU A FEE ONCE THEY COMPLETE A SETTLEMENT FOR YOU. Just my opinion… Math don’t lie.

    Reply
  8. How to throw your money away with LHDR? According to their contract here, client owes $18,865.
    Month 1 -9 Client Escrow Savings =$808.83
    Month 1 -9 Trust Account Fees =$92.25
    Month 1- 9 LHDR JUNK Fees Split to the world =$3068.37
    Month 10 -18 Client Escrow Savings =$1708.83
    Month 10 -18 Trust Account Fees =$92.25
    Month 10 -18 LHDR JUNK Fees Split to the world =$1359.54
    So 1st 18 months a client enrolls with LHDR they will have saved in their escrow for future settlement funds =$2517.66 divide 18 payments =$139.87 a month worth of savings to pay off $18,865 Total Debt.
    1st 18 Months LHDR Junk Fees=$4,427.91- NOT A GOOD DEAL PEOPLE!
    SMART DEAL – SAVE YOUR MONEY YOURSELF – $351.18 X 6 =$2358. IF YOU HAVE 4 CC TOTALLING $18,865, EVERY SIX MONTHS YOU SAVE ON YOUR OWN YOU CAN TRY OFFERING YOUR CREDITOR AT 50%. If you don’t have the time or knowledge than find a PERFORMANCE MODEL DS COMPANY THAT WILL ONLY CHARGE YOU A FEE ONCE THEY COMPLETE A SETTLEMENT FOR YOU. Just my opinion… Math don’t lie.

    Reply
  9. How to throw your money away with LHDR? According to their contract here, client owes $18,865. Month 1 -9 Client Escrow Savings =$808.83
    Month 1 -9 Trust Account Fees =$92.25
    Month 1- 9 LHDR JUNK Fees Split to the world =$3068.37
    Month 10 -18 Client Escrow Savings =$17088.83
    Month 10 -18 Trust Account Fees =$92.25
    Month 10 -18 LHDR JUNK Fees Split to the world =$1359.54
    So 1st 18 months a client enrolls with LHDR they will have saved in their escrow for future settlement funds =$2517.66 divide 18 payments =$139.87 a month worth of savings to pay off $18,865 Total Debt.
    1st 18 Months LHDR Junk Fees=$4,427.91- NOT A GOOD DEAL PEOPLE!
    SMART DEAL – SAVE YOUR MONEY YOURSELF – $351.18 X 6 =$2358. IF YOU HAVE 4 CC TOTALLING $18,865, EVERY SIX MONTHS YOU SAVE ON YOUR OWN YOU CAN TRY OFFERING YOUR CREDITOR AT 50%. If you don’t have the time or knowledge than find a PERFORMANCE MODEL DS COMPANY THAT WILL ONLY CHARGE YOU A FEE ONCE THEY COMPLETE A SETTLEMENT FOR YOU. Just my opinion… Math don’t lie.

    Reply
  10. How to throw your money away with LHDR? According to their contract here, client owes $18,865. Month 1 -9 Client Escrow Savings =$808.83
    Month 1 -9 Trust Account Fees =$92.25
    Month 1- 9 LHDR JUNK Fees Split to the world =$3068.37
    Month 10 -18 Client Escrow Savings =$17088.83
    Month 10 -18 Trust Account Fees =$92.25
    Month 10 -18 LHDR JUNK Fees Split to the world =$1359.54
    So 1st 18 months a client enrolls with LHDR they will have saved in their escrow for future settlement funds =$2517.66 divide 18 payments =$139.87 a month worth of savings to pay off $18,865 Total Debt.
    1st 18 Months LHDR Junk Fees=$4,427.91- NOT A GOOD DEAL PEOPLE!
    SMART DEAL – SAVE YOUR MONEY YOURSELF – $351.18 X 6 =$2358. IF YOU HAVE 4 CC TOTALLING $18,865, EVERY SIX MONTHS YOU SAVE ON YOUR OWN YOU CAN TRY OFFERING YOUR CREDITOR AT 50%. If you don’t have the time or knowledge than find a PERFORMANCE MODEL DS COMPANY THAT WILL ONLY CHARGE YOU A FEE ONCE THEY COMPLETE A SETTLEMENT FOR YOU. Just my opinion… Math don’t lie.

    Reply
    • At the end of the day. You DO NOT need debt settlement, truth is if you wait long enough your creditors will begin sending you settlement offers in the mail for as low as 25% of the balance. Advice – create a budget for yourself and set aside an affordable amount every month, i.e. $200, so that when you begin receiving offers you’ll have a means of accepting.

      You will not be able to work with your creditors for the first 1-3 months, in the 4-6 month mark they’ll begin offering “hardship programs,” (Reduced or 0% interest for a fixed period of time, typically 6-12months), in about 8-12 months time you’ll start to see settlement offers come in…The way you can figure the percentage’s for example:

      Say you owe : $3,265.79
      You receive an offer for : $1,600.24

      Take : $1,600.4/$3,265.79 = 0.49 or 49%

      Keep in mind when settling with your creditors, even when the creditor has provided the offer to you, you can still negotiate. If you feel its too high, don’t feel pressured into accepting, you can always work out a payment plan, however the best of settlements come in the form of a lump sum (one payment).

      Here’s a breakdown of the typical percentages, accounts are settled at with the following creditors:

      BofA : 20%-40%
      Barclay’s : 35%-50%
      Chase : 40%-65%
      AMEX : 45%-80%
      Citi : 40%-65%
      GEMB : 35%-50%

      Reply
  11. Oh, I thought the lawsuits against legal helpers are just politically motivated? I am sure it doesn’t have anything to do with the fact that they are pulling this crap on consumers every single day. 33% of debt, upfront, wow, sounds like a great deal to me.

    Ridiculous

    Reply
  12. Oh, I thought the lawsuits against legal helpers are just politically motivated? I am sure it doesn’t have anything to do with the fact that they are pulling this crap on consumers every single day. 33% of debt, upfront, wow, sounds like a great deal to me.

    Ridiculous

    Reply
  13. They are all full of sh*t. Crooks and liars I say! third party vendors, servicing companies, wholesale models, and most of all, the affiliates. I have been there. Done that. I label this opinion ONLY so i don’t get sued for libel. If this pisses you off, the line starts downstairs and around the building. Approximate wait time: 3 years. While you are waiting in line, think about simply following the law instead of following the crowd around it.

    Reply
  14. They are all full of sh*t. Crooks and liars I say! third party vendors, servicing companies, wholesale models, and most of all, the affiliates. I have been there. Done that. I label this opinion ONLY so i don’t get sued for libel. If this pisses you off, the line starts downstairs and around the building. Approximate wait time: 3 years. While you are waiting in line, think about simply following the law instead of following the crowd around it.

    Reply
  15. If I’m not mistaken that letter needs to be signed off by an attorney of the company but let’s be honest, Global is a diversion. LHDR is charging 33% of a clients debt and claiming attorney exemption….where is the outrage ?

    Reply
  16. If I’m not mistaken that letter needs to be signed off by an attorney of the company but let’s be honest, Global is a diversion. LHDR is charging 33% of a clients debt and claiming attorney exemption….where is the outrage ?

    Reply
  17. Global is taking deals from any company’s attorney who will write a letter specifically stating that the company believes that they are operating within the TSR.

    Appears as if the third parties will come under fire as well.

    Reply
  18. I thought Global Client Solutions wasn’t using companies that charge up front fees? Am I confusing this with noteworld; or did’t both companies state this

    Reply
  19. I thought Global Client Solutions wasn’t using companies that charge up front fees? Am I confusing this with noteworld; or did’t both companies state this

    Reply
    • Global is taking deals from any company’s attorney who will write a letter specifically stating that the company believes that they are operating within the TSR.

      Appears as if the third parties will come under fire as well.

      Reply

Leave a Comment