Pacific Debt – Consumer Complaint – 1-25-2012

Date This Problem Happened: April 9, 2010

State You Live in: California

Race/Ethnicity: White

Age Range: 36-50

Total Amount of Fee Paid: $3,250

Company Name: Pacific Debt

Company Address:

715 J ST.
#202
San Diego, CA 92101

Company Telephone Number: 877-722-3328

Website of Company: pacific debt.com

Consumer Statement:

I went to Pacific Debt for a debt settlement for initially 5 cards but after a couple of months I changed it to 3 cards. I had been given this company through MSNBC money. They had a link to put in our zip and get a credible company. Before this I had talked to 2 different companies but I realized within minutes of speaking to the rep that 80% of the money I put into the program went in fees to them, not the creditor. I mentioned this when speaking with the Pacific Debt rep. I did not want to get involved in that type of company.

I started with PD in April of 2010 because I had been ill for several years and struggled with finances. The rep, Andrew Martin, told me that the fees were all in the first 3 months of payments. I asked this over and over when anything was brought up about fees. He also said the rest of the payments then were saved up to make a settlement to the creditor. I had told him about my job and long hours, I had a 2 year old and had been diagnosed with a genetic autoimmune disease called Celiac disease. All of these factors were leaving me too tired to solve my problems and I needed to find a company that was reputable. I thought the MSNBC money reference was enough to let me trust Pacific Debt.

I found out this month that out of the $4555.00 I have paid Pacific Debt, they have only put $1305.00 toward the debt. Here is the payment breakdown they sent me last week.
Payments Paid
Total Program Payments $4,555.00
Enrollment Fee $995.00 $350.00
Monthly Maint ($30/mo) $480.00
Creditor Payments $1,305.35
Settlement Fees $1,731.65
NoteWorld Annual Fees $43.00
$4,555.00

You can see there so many fees that only 29% of what I have paid them has gone to settling debt. My first thought was that maybe I am not seeing the debt settled because they are going to pay in a lump sum so they are holding the money until it accumulates. This was how they said they worked. When I called Wells Fargo to check on Pacific Debt they said they were receiving monthly payments. Some payments were as low as $25 out of the $215 they took from me.

Pacific Debt also settles the debt for more than what the debt was when it went to a debt collector. Then they take 30% of the “saved” amount for a fee. This beefs up the fee even more. I think this must be outright illegal. Mr. Landie addresses this in his last email but sidesteps the point by writing about how much his company “saved” me.

I have read the agreement I signed and it does say all these fees were there but I did not think I was signing something different than from what had been explained to me by Andrew Martin.

Last week they sent me a recorded message I had with them in July of 2010. Several months after I had started the payments. I had been convinced the fees were in the first 3 months of payment so I did not question it anymore. I will forward the message to you.

After searching more online about them I found that I was not alone in thinking the fees were only the first 3 months. I believe they mislead people who are overwhelmed with problems and overly trusting.

Consumer Action Taken:

These are the emailed that I have had with Pacific Debt since I discovered the fees a few weeks ago. You can see the CEO, Kevin Landie, did not want to put anything on email.

  • to customerservice
    Dear Pacific Debt

    Please cancel my account. My name is [redacted] client number [redacted]. Please send me a confirmation letter and cease all withdrawals from my bank account.

    Thank you,
    [redacted]

  • to tiffany, me
    [redacted],

    I have received your email and have processed your cancellation request. No future debits will take place and we will notify NoteWorld to cancel all withdrawls and close your account.

    I would like to reiterate that I apologize if you feel that you have been misled in any way and am willing to work with you on a compromise that is mutually agreeable. I am happy to discuss a possible partial refund of any fees charged given the fact that you feel these were not appropriately disclosed to you.

    Upon a quick review of your file it does appear that you were on track to complete your program in the time (36months) originally estimated.

    Please contact me at 1-877-722-3328 x240 if you would like to discuss this matter further.

    Best regards,
    Sierra Izzard
    Director of Operations
    Pacific Debt, Inc.

  • Sent: Monday, January 09, 2012 1:46 PM
    To: cu*************@*********bt.com
    Subject: Please cancel client [redacted]

    Dear Sierra,

    Pacific Debt has paid $892 to Citi Bank and $413 to Wells Fargo totaling $1305 in paid debt. Pacific Debt has received from me $4555. The difference is $3250. I signed up for a fee of the first 3 months of payment which for the 3 accounts should have been $215 per month. That totals $645 for your services and $2605 should be reimbursed to me promptly.

    Thank you for your immediate attention to this issue.

  • I will do a full review of your account and get back to you before the close of business tomorrow.

    Regards,

    Sierra Izzard
    Director of Operations
    Pacific Debt, Inc.

  • Sent: Monday, January 09, 2012 3:57 PM
    To: Sierra Izzard
    Subject: Re: Please cancel client [redacted]

    I did a breakdown of everything and left you a message a few moments ago. Please give me a call when you have 5-10 minutes to discuss this matter.

    Best regards,

    Sierra Izzard
    Director of Operations
    Pacific Debt, Inc.

  • Sent: Monday, January 09, 2012 3:57 PM
    To: Sierra Izzard
    Subject: Re: Please cancel client [redacted]

    Sierra,

    I do not wish to discuss this matter anymore. I am expecting the recorded discussion from the beginning of the program and a response to my last message by email as soon as possible. I was also told I would receive a copy of the payments and what they were applied too.

  • [redacted],

    Due to the fact that the fact that the file size, is large I will be sending you two emails. This is the first.

    Attached is a zipped copy of the recorded call. You will need to unzip the file and you will need Windows Media Player to listen to the recording. The 30% of the savings amount in question is reviewed with you at the 4 minute mark.

    I will send you a second email momentarily with a breakdown of everything else as you requested.

    Regards,

    Sierra Izzard
    Director of Operations
    Pacific Debt, Inc.

    [redacted]Sent: Tuesday, January 10, 2012 12:18 PM

    As a follow up attached you will find a breakdown of all payments and how they were applied. Also the Service Agreement you completed is attached for your reference and outlines all program terms and fees.

    Please note that you were on track to complete your program within 36 months or less, as originally estimated to you. Per my review all fees were collected in accordance with the agreement you completed and services were rendered as agreed and in a fashion which provided substantial financial benefits to you.

    That being said, in an effort to resolve the matter I am authorized to issue a refund of $590 which is broken down in the Excel file attached.

    Once these funds are refunded to you, you will have saved $3527 upon completion of the Wells Fargo settlement. The remaining installments due on the WF account must be completed by you directly.

    In order to complete the refund you must sign the Refund Release form attached and email or fax it back to me. The check can be mailed within 24 hours of receipt.

    Please do not hesitate to contact me with any questions or concerns.

    Best regards,

    Sierra Izzard
    Director of Operations
    Pacific Debt, Inc.

  • Sent: Tuesday, January 10, 2012 12:18 PM

    Sierra,

    I looked over the information you have sent me and I am unwilling to sign your form. The form that Pacific debt is asking me to sign is completely unreadable. I am not a lawyer or trained in legal jargon.

    I also listened to your recorded message and it does not have the the several occasions on the recording that I asked about the fee. I asked what the fee was outright and was told several times that it was the first 3 months of payment. Period. That was to take care of your percentage for the work entailed. The rest of the money is collected monthly and then paid out in a lump settlement to the creditor. So that was the one topic I had asked several times by the time this call was recorded. Which this call was recorded after the program had already started. The cost of the program was my main concern. Warnings against using any company like this to help with debt were centered in ridiculous fees that define predatory scams.

    I had told Andrew Martin that in the companies I had looked into before, nearly 80% of what is paid goes to the company and not to the debt. In my case that has played out almost exactly. Only 30% has gone to settle my debt and 70% to Pacific Debt. You claim what my savings are but that is a subjective point. I have no savings because you have taken the money I could have just paid the company with and the credit score decrease costs me in future interest rates.

    Andrew Martin told me that all the fees were paid in the first 3 months so that Pacific Debt was not creating a vague picture of what I owed them. This was why MSNBC Money had recommended them as a legitimate company that handled my geography.

    This is my final attempt to resolve this matter. Please refund my account according to my initial email. If I do not get resolution I will reach out to the Attorney Generals Office and Consumer Federal Protection Agency.

    Thank you,

  • [redacted] I am in receipt of your email and will follow up no later than Monday.

    Sierra Izzard
    Director of Operations
    Pacific Debt, Inc.

  • Sent: Thursday, January 12, 2012 2:52 PM

    Sierra,

    Kevin Landie called me but did not leave his email. Please let him know our communications should be through email as I told you a few weeks ago.

    Thank you,

  • If you would like to discuss your situation with and allow me to address your issues, concerns etc. than I’m requesting you return my phone call. You can reach me toll free at 877-722-3328 ext. 225. I would me more than willing to accommodate you and find a time that is convenient for you.

    Thank you,
    Kevin Landie

  • Sent: Monday, January 16, 2012 2:10 PM

    Kevin,

    Our discussion can be done over email. I do not have the luxury of recording my phone calls and the most recent phone have been chaotic. I do not have the time or the temperament to rehash over the phone why it is unthinkable that anyone would willingly pay $4555.00 to pay off $1305.00 of debt.

    Attached to this email are the emails I have sent to your company. Please review them and address your comments in email.

    I was extremely ill for several years, as I was recovering I was overwhelmed with the financial problems that were created during this time and holding my family together while trying to keep my job. I believe your company preys on people in desperate situations and is not different from any other credit scams.

    I have requested a reasonable resolution to this situation that allows you to be paid the proper amount that I agreed to pay. Please respond appropriately.

  • [redacted],

    I have had the opportunity to review all of the materials related to the agreement and the services provided to you by Pacific Debt. We have provided exactly what was agreed to in the contract and you were on track to complete the program within the 36 month target. Pacific Debt is a result and customer service oriented corporation. In the debt settlement industry we are, and have a reputation as being the exact opposite of the “predatory scams” you reference in your communications. If you were to do your due diligence you will find we actually have one of the best reputations in the industry.
    In regards to your position on the fees, Pacific Debt has charged and collected the fees that were clearly articulated in the contract. For you to assert that there was any confusion about the fees or that Pacific Debt was not up front about the fees is disingenuous. The following provisions regarding fees are clearly stated in the agreement:

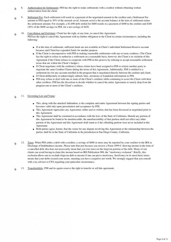
    3. Settlement Reserve Account: Client agrees to a regular monthly deposit of $300.00, to their Settlement Reserve Account. This deposit will for the purpose of funding your Settlement Reserve account established by NoteWorld, our third party administrator. This account is established for the payments of settlement amounts to creditors and of related fees. Client agrees to have NoteWorld establish the client Reserve Account as part of a non-interest bearing Trust Fund account established by NoteWorld. The monthly fee payable to PDI is $45.00, and is included in the monthly payment stated above. If client cancels this agreement before all debts are settled, no refund of this fee will be due and owing to the Client.

    4. Enrollment Fee: Client agrees that $995.00 will be paid as a non refundable enrollment fee. Once enrollment fee is paid in full, additional funds will be deposited into your NoteWorld reserve account. Client understands that each payment thereafter will be deposited into the NoteWorld trust account we open in your name for the purpose of settling out your debts. This enrollment fee is refunded only if a written cancellation sent to PDI is postmarked or faxed within 3 business days of this agreement. In the event client wishes to enroll an additional debt at a later point in time, upon approval from PDI, said debt will be subject to an enrollment fee equivalent to 6% of the balance.

    9. Settlement Fee: Each settlement will result in a payment of the negotiated amount to the creditor and a Settlement Fee amount to PDI equal to 30% of the amount saved. Amount saved is the account balance at the time of settlement minus the settlement amount. For example, a $1,000 debt settled for $400 results in a payment of $400 to the creditor and $180 (30% of the $600 savings) to PDI, for a net savings of $420.

    When you entered into the contract, you checked a box next to each of these fees provisions above individually. Had you not checked any of these boxes the application process would not have been able to proceed. Additionally your understanding of the fees associated with the program was confirmed in the recorded quality assurance call you had with Pacific Debt at the time you entered into the agreement. Accordingly there is no basis for you to state that the true nature of the fees was not clear or misled to you.

    Nonetheless, in an effort to work with you and in the spirit of our dedication to customer service we will offer you the following: At this time Pacific Debt will either refund to you $1000.00 OR Pay to settle your remaining account (GE Money Account ending in [redacted]) while not charging any settlement fees. Upon accepting either of the offers we will need in return a signed release form for Pacific Debt Inc. In light of the above we believe either of these offers is abundantly fair. As well this will be the final email from Pacific Debt. Any further attention to this matter can be conducted on the telephone. Thank you for your attention to this matter.

    Sincerely,

    Kevin Landie

  • Sent: Monday, January 16, 2012 7:04 PM
    To: Kevin Landie

    Mr. Landie,

    I have had an opportunity as well to review my account with your company.

    *I have noticed that your company has settled the debts for a few more hundred dollars than what I owed on them. Which of course increases your 30% take home of the amount you “saved” me.

    * I also noticed in an account summary sent to me on the 10th of January 2012 that you state you have paid Wells Fargo $928.77. Yet on the 9th only a day before I spoke with Kevin Anderson of Icons affiliated settlement group and he said that Pacific Debt has only $413.00 on that debt.

    * I believe after finding several people who did not know about all the fees your company applies to the account that you are the “disingenuous” one.

    * The recording I was sent was taken on 7-7-10, 3 months after I started your program. At that point I had asked several times about the fees and I was told they were the first 3 months of payment. That is what I understood and I am not alone in thinking that was the case.

    * I found your company through what I had thought was reputable means because I did not have the energy or time to pick apart agreements to see how I might get scammed. I hoped that I could trust what you are saying on the phone.

    *You have been paid $4555.00

    * You have paid $1305 to creditors

    * I will pay you $645.00 for you services (I will not pay the $3250 that you have taken)

    Please return to me the full $2605.00. If you need me to sign a document please do not use legal jargon that I cannot understand.

    Thank you

  • We have bent over backwards to provide you with all requested information, so that you can understand our position. We will try this one more time. I will now simply be copying and pasting notes out of our database to justify why many of your comments below are false.

    *I have noticed that your company has settled the debts for a few more hundred dollars than what I owed on them. Which of course increases your 30% take home of the amount you “saved” me.

    Citi account increased from $3208.05 to $3568.42, an Increase of only $360.37. We settled this account for $892.15. Savings of $2,315.90 of debt at time of enrollment. Larger savings if you look at current balance at time of settlement. I would say that it is a significant savings of more than just a “few hundred dollars”.

    Wells Fargo increased from $5179 to $5333.58. Increase of only $154.58. We settled this account for $1,866.00. Savings of $$3,313.00. I would say again a significant savings.

    Between just the two accounts above there is a savings of $5,628.90 of debt when NOT taking into consideration debt at time of settlement (as that would be a higher figure).

    * I also noticed in an account summary sent to me on the 10th of January 2012 that you state you have paid Wells Fargo $928.77. Yet on the 9th only a day before I spoke with Kevin Anderson of Icons affiliated settlement group and he said that Pacific Debt has only $413.00 on that debt.

    $413.20 is what was paid to Wells Fargo. The $928.77 is the total settlement fee paid to date (cell H21). The total fee due was $1040.27 so there is a small balance due to PDI.

    *The recording I was sent was taken on 7-7-10, 3 months after I started your program. At that point I had asked several times about the fees and I was told they were the first 3 months of payment.

    Client’s account was set up at the end of April 2010. QA was completed on 7/7/10. By my count we made at least 15 attempts to complete the QA Call with her. Per our database notes by CS it shows client wouldn’t return our calls or ever answer the phone.

    [Redacted], I don’t think there is anything further to discuss. For ten years now, Pacific Debt Inc. has worked on assisting those with credit card debt. We look to get our clients out of credit card debt for less than what they owe. We were successful in doing this for you, and in under the time frame initially quoted to you on the telephone. Our contract clearly states our fees in numerous spots where initials are required. A full refund will not take place on this account given how successful we were and the time we have all placed into your account. If you would like to take advantage of the offer we previously made in good faith, please do so within the next 7 business days or it will be withdrawn. We have already expended unnecessarily excessive company resources in defending your unsupported claims and are not inclined to do so any longer.

    Thank you,

    Kevin Landie

Client Supporting Documents:

Note:

The Myvesta Foundation sent a letter to the company at the address given or found and asked them to publicly respond to this complaint.

Update 1-27-2012

Here are copies of the two settlement letters Pacific Debt was able to obtain for the client before termination.


If you feel you’ve been financially hurt by a debt relief company and deserve a refund, read these step-by-step instructions on how to proceed to attempt to get your money back.

If you do get your money back, come back and leave a comment about it. I’d love to praise companies that step-up and do the right thing for people.

Scam reports are submitted by consumers like you. If you would like to file a scam report, please click here.

If you are the company named in this report and you want to respond, please read How to Handle a Consumer Complaint Like a Pro And Come Out Smelling Like a Rose

author avatar
Consumer
This is information that was submitted by a third party and not generated by GetOutOfDebt.org or Steve Rhode.

10 thoughts on “Pacific Debt – Consumer Complaint – 1-25-2012”

  1. We’ve loved working with Pacific Debt, they are a superb company. When the 4 credit cards that we had were all bought out by Chase & raised to an interest rate of 29.99% (even though we had never been late) and with 10K balances on all of them it was just insane. We only have 1 left, they’ve saved us a lot of money, and I can’t even fathom how much they’ve saved us in interest. We receive lots of calls from them updating us on progress and even just to see how we’re doing and if we have any questions. All of them have been very friendly. Just wanted to express our great experience with them in case anyone can’t see through this bizarre lady’s & see that Pacific is a great company…

    Reply
  2. Amazing.  If that lady would have spent just a third of her time working with Pac Debt or returning phone calls this probably would have never happened.  What more could have Pac Debt done for this crazy lady?

    Reply
      • 1 debt was settled and paid the second was settled for $1866 but not paid. Only $413 of that $1866 had been paid out of the total $4555.00 sent to Pacific Debt. They have only paid $1305 to debt total, yet collected $4555 from the customer. That is 71% of what the customer had paid was taken  in fees.

        Reply
        • Grumpy,

          If you read the emails above that doesn’t seem to be the case?  That was never brought up by the absurdly out of line client.  If the accounts were not in fact settled than why didn’t the client ever make that point?  Maybe Steve can request from Pacific Debt Inc. settlement letters showing a settlement or not?  If the accounts were in fact settled (which I assume they were) than this person is complaining about getting out of debt for less than what they owe and in a short period of time?  I guess she could have just filed BK but it’s safe to assume the client didn’t want to go that route.  

          Why so Grumpy?

          Reply
  3. In response to this consumer’s complaint I would like to preface this
    response by saying that Customer Service is our top priority and we do
    everything in our power to accommodate consumers who feel we did not meet
    their expectations. In this instance, the consumer’s accounts were settled
    for an average of 32% of the original balance and the program was on
    schedule to be completed in less time than originally estimated. 

    As a matter of principal, PDI attempts to accommodate all consumers who feel
    we did not meet their expectations. 

    Our management team has spent the past two weeks attempting to resolve this
    matter with the consumer and have offered to refund her a portion of fees
    paid. Unfortunately, we have been unsuccessful in this endeavor and are
    disappointed that she has posted this complaint online. We have attempted to
    communicate with her on numerous occasions to explain our position and to
    discuss her concerns; however, she has refused all telephone communication
    and will only converse via email.

    With regards to this consumer’s account, PDI would like to note the
    following:

    1)       This consumer was estimated to complete the debt settlement program
    in 36 months but in fact was on pace to finish the program in LESS time than
    estimated due to the low settlements obtained.

    2)       Pacific Debt successfully settled two of the client’s three
    enrolled accounts. The combined original balances on these two accounts were
    $8387.05 and the accounts were settled for $2758.15, an average settlement
    of 32% of the original (not the balance at time of settlement) balance. 

    3)       The consumer completed an agreement which required her to
    electronically initial and/or sign in at least two places confirming her
    understanding of the fees. Our agreements have no fine print. 

    4)       Our customer service team completed a recorded quality assurance
    call with the consumer to review all program aspects and fees. The call was
    completed a little over two months after her enrollment date. Normally this
    call is completed during the first week of a client’s enrollment however
    PDI’s customer service team reached out to the consumer no less than 15
    times in order to complete the call.

    As a company, Customer Service is our number one priority. We do not like
    complaints but we always make a good faith effort to resolve issues with
    clients directly. If Pacific Debt has made a mistake, dropped the ball or a
    consumer has not received a tangible benefit we ALWAYS take ownership for
    those mistakes and will refund the consumer. In this instance, the consumer
    received the benefit of the service and acknowledges that her original
    estimate was 36 months. We have offered to meet her more than half way with
    a substantial refund, but that offer was declined. 

    We hope current and prospective clients understand that we have made a good faith effort
    to resolve this matter.  

    Thank you,
    Pacific Debt Inc.

    Reply

Leave a Comment