A reader sent in a contract with Home Owners Advocacy Group they had recently signed for some sort of mortgage assistance of foreclosure avoidance.
I am now a lawyer. What follows is my opinion of different sections of the agreement in an effort to help readers better understand what to look for and what it means.
If you have a debt relief contract you’d like for me to review, click here.
Home Owners Advocacy Group
The company says they are located at:
1801 Edinger
Suite 200
Santa Ana, CA 92707

Santa Ana CA 92707
It’s probably just an odd coincidence but the Federal Trade Commission took action against a company that was offering similar services and located at:
1801 East Edinger Ave
Suite 200
Santa Ana, CA 92705 – Source
A search in California via the Secretary of State website could locate no company that is registered to do business in California under the name Home Owners Advocacy Group.
![]()
Advocacy Agreement
Page 1
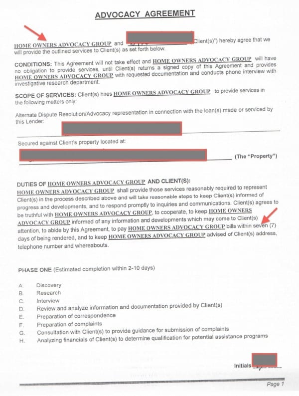
The agreement does not shed any light on where the company is located or specifically who the agreement is with. Is Home Owners Advocacy Group and unregistered business? Are they a corporation, LLC or maybe just a made up name.
The agreement is for “advocacy representation,” whatever the heck that is.
The agreement says consumer must pay all bills due Home Owners Advocacy Group within seven days.
Page 2
It looks like the consumer is paying for some sort of submission of a “package” to their lender after “complaints” are prepared.
And then they will follow up with the client and resubmit materials again.
For this service the consumer has agreed to pay $2,950 in four installments.
If the client fails to make the installment payments then Home Owners Advocacy Group will consider the contract in breach and will withdraw. No mention of any refunds available.
Home Owners Advocacy Group will not represent the client in any lawsuit or to stop any foreclosure.
Page 3
Home Owners Advocacy Group may farm out the support and administration of this agreement.
No “legal services” will be provided until all the installments have been paid. Yet it is unclear what initial legal service, at all, would actually be provided.
The client must arbitrate any dispute in Orange County, California and may not due the company, whoever they are, without arbitration first.
The agreement says this contract falls under the State Bar of California but no lawyer is identified in conjunction with the agreement.
The company says they will not modify the loan.
Page 4
Even though the agreement says they are a California company, I could not locate one under that name.
Do You Have a Question You'd Like Help With? Contact Debt Coach Damon Day. Click here to reach Damon.
The contract states there are no promises or guarantees about actually delivering the services and it appears there are no refunds as well. Buyer Beware.
Page 5 is a checking account debit form.
My Opinion
There does not appear to be anything here that a consumer could not try themselves for free. There appears to be no attorney representation and no attorney is identified. The consumer does not live in California so unless the attorney is licensed in their state, there could be no attorney representation.
Any consumer contemplating entering into a similar agreement might want to first review the links below for free actions they can take themselves.