Debt Relief Companies of Tim Gibbons and Jennifer Yoffe Not What They Seem

National Employee Benefits Group and United Employee Benefits Group are debt relief companies I’ve written about before, here and here. They’ve both been sending out questionable marketing material, appearing to be sanctioned to offer people questionable debt relief services.

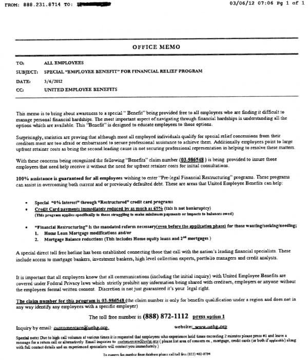
In fact they have been allegedly sending out this unsolicited fax tipster (send in your tips here) sent in recently. The fax claims to offer “pre-legal financial restructuring,” credit card payment reduction, home loan modifications, and mortgage balance reductions and appears to be a benefit offered with knowledge of the recipients employer.

This site has the greatest tipster (send in your tips here)s in the world and one such reader sent me information on these companies that further solidifies they are not what they claim.

The tipster (send in your tips here) said:

I wish to bring attention to every one of SCAM/ FRAUD being conducted by National Employees Benefit Group / united employee benefit group-UEBG, also known as NEBG. The registered office is in Las Vegas
8871 W. Flamingo Road, Suite 202,
Las Vegas, NV 89147

However the registration is of a virtual office.

However the company now operates from Fiji situated at Garden City in Raiwaqa, Suva under the name of Bio Fuels international Fiji in reality claiming that it operates from USA using Voip phones showing USA numbers, Phone and Fax. before it used to operate from hem raj place in Tamavua.

The directors Mr. Tim Gibbons and Jennifer Yoffe Gibbons both reside in Thailand and from time to time they visit Fiji to collect cash transferred from NEBG account to Bio fuels account. Mr. Tim Gibbons had been deported from Fiji once as he was involved in Telecommunication scam company named as tele source. [ED: I believe it was actually Telepac and the story just says he was allegedly detained. – Source]

The poor American blood being sucked by Mr. Tim Gibbons and the wife. They have never gone to USA upon the start of the business being in fear of being detained and court actions taking place against them.

The Fiji Government and relevant authorities must take proactive measures to stop this scam to benefit the 1000’s of poor Americans who are cheated.

The staff of Bio Fuels stationed at Garden City in Marco-Polo Building resume work at 3am in the morning ( 8am USA Time) and finish at 1pm Fiji time (5pm USA Time).

Furthermore to this staff of bio Fuels are given special name impersonating to be Americans.

Given Below is a list of some people with Local names and their assigned names:
Lina Hoo known as Angila Kidd
Vika Known as Victoria Cohen
Rakesh Chand known as Rick stone
Ranjana lal known as Geena Lee
Ranita Sharma known as Rene Evans etc.
Alvina as alvina Banks.
Krisi as Christine pickering
Losalini Rokovesi as Lini smith

NEBG employs a staff of corporate suits from Las Vegas who sends and deposits all checks to NEBG account and later is transferred to Thailand and Fiji.

I just want the poor Americans to be saved from this scam.

What follows is a review of some of the statements the tipster (send in your tips here) made that I was able to research. I have no knowledge of the companies being a scam as the tipster (send in your tips here) states. I make no such allegation. This report is a reflection of the inconsistencies that arose while checking the information submitted.

I have traded several emails with this company and technical information in the last email confirms they are being sent from Fiji with the following footer:

Rick Stone
Mortgage Banking Analyst
Sr. Portfolio / Asset Manager
United Employee Benefits Group
P: (888) 671-7778 F: (888) 855-0666

Payment /Compliance Processing Center:
8871 W. Flamingo Road, Suite 202
Las Vegas, NV 89147

Executive Division:
2800 Post Oak Blvd, Suite 4100
Houston, TX 77056

According to the tipster (send in your tips here), Rick Stone is allegedly Rakesh Chand. A visa application was submitted to me as well to support the claims of the tipster (send in your tips here).

The tipster (send in your tips here) also stated that Chand had been previously deported from the United States. I am not sure if this is the same Chand but in 1997 a Rakesh Chand was deported.

Rakesh Chand, a native and citizen of Fiji, of Hindu Indian descent, petitions pro se for review of the Board of Immigration Appeals’ (“BIA”) dismissal of his appeal of an immigration judge’s denial of his application for asylum and withholding of deportation. – Source

[Update 3-16-2012 Tim Gibbons confirms Rakesh Chand works for him but denies the person mentioned above is the same person. “Your raskesh Chand that you show as being deported is not the Rakesh Chand that works for us either.”]

United Employee Benefits Group

On September 13, 2011 United Employee Benefits, LLC, Rick Stone, Tim Gibbons, Barry Johnson and Jennifer Yoffe were sent a cease and desist letter by the California Department of Real Estate. The allegation was that the named parties were “engaging in the business of, acting in the capacity of, advertising, or assuming to act as a real estate broker in the State of California.” This was presumably for the mortgage modification services they were alleged to have been selling.

On or about April 25, 2011, the Oakland District Office of the department received a fax advertisement from National Employee Benefits Groups, which now operates under the name UEB, listing relief programs including resolving foreclosure proceedings, mortgage loan modification, restructuring programs and renegotiating home loan balances.” – Source

Read more about this action against the named individuals.

According to public records, United Employee Benefits Group is supposed to be located at:

Payment /Compliance Processing Center:
8871 W. Flamingo Road, Suite 202
Las Vegas, NV 89147

According to the State of Nevada there is no company called United Employee Benefits Group. There is however a company called United Employee Benefits, LLC that is owned by Tim Gibbons and Jennifer Yoffe at the address above. – Source

The address is actually a virtual office as the tipster (send in your tips here) alleges. – Source

Executive Division:
2800 Post Oak Blvd, Suite 4100
Houston, TX 77056

Despite the claims that the company is located in Texas, there is no registration I could find to do business on file with the Secretary of State in Texas for this company.

The Texas address is a virtual office space at the Williams Tower in Houston, Texas. – Source

United Employee Benefits Group, which is not a valid and registered company in Texas, claims to be located there and offer the following debt relief services.

Barry Johnston a.k.a. Barry Johnson

The claims about Tim Gibbons and Jennifer Yoffe being involved seem to be supported by Gibbons owning the domain name for nebgroup.org and Yoffe appearing on additional documentation supplied.

The tipster (send in your tips here) supplied information mentioned a Barry Johnston who was confirmed as having worked at UEBG. My email to Barry Johnston at his National Employee Benefits Group email address, obtained from alleged pay records below, was responded to by Rick Stone at United Employee Benefits Group who said, “Barry is no longer with us.”

Pay records for Barry Johnston at National Employee Benefits Group appear to support money paid between Thailand and Fiji.

Tim Gibbons & Jennifer Yoffe

Information linking Gibbons and yoffe to BioFuel International can easily be found. Yoffe143 uploaded the following video to YouTube and it is tagged with both Jennifer Yoffe and Tim Gibbons.

BioFuel International Press Luncheon (Fiji Islands)

Source Video

Jennifer Gibbons is listed as the Vice President and Director of Human Resources as BioFuels International, LLC and Bio Fuels International (Fiji) Limited. – Source

Tim Gibbons has an allegedly spotted past when it comes to his telecommunication days. Rumor has it that back around 2006 Tim Gibbons ran into trouble in Thailand.

A story is attributed to the Pattaya City News on Saturday October 14, 2006

In response to that posting, a person posting as TelephonePacific stated the story was inaccurate. – Source

Broke Texan makes a run for it rather than paying his outstanding rent.

A bizarre case now from the Argyll Apartments on the Pratamnuk Road in South Pattaya. Mr. Tim Gibbons aged 39 from Texas, USA checked into the apartments three months ago after a planned 6 month stay in Pattaya to take some time-out from his job back in Texas.

Unbeknown to staff at the apartment, he lost his job back in Texas whilst he was here in Pattaya and he ran out of money and could not afford to pay the rent. Staff decided to confront him on Friday evening after accumulating a bill of 69,000 Baht over the last three months. Mr. Gibbons did not have the money to pay the bill and took the decision to make a run for it. He was quickly caught and the Police were called.

Staff presented Police with the tenancy agreement and he was duly arrested and taken to Pattaya Police Station. He is now in a situation where he will have to either find the money quickly or face some jail time and possible deportation. – Source

And then there is this allegation and story related to the issue that is posted online in the same forum thread.

Turns out our Texas boy Tim Gibbons sure is quite the con man.

Mr. Gibbons had not paid his bills for months and he was telling the owner that he was regularly communicating with his staff in the USA. But guess what, this Texas two facer eventually had his emails tracked by the owners of the hotel and they were all originated from the same IP address, all in Pattaya, now that was every email that I’m talking about, including the responses that were supposed to be from his bosses in the USA. They traced the sources of the emails and they found out that Gibbons was writing them all himself, and that he was pretending to be his own boss! The poor owner had been busy corresponding to Gibbons bosses (who were actually just Gibbons) when Gibbons, who was must have been starting to feel the heat of a new residence in a Thai jail cell, snuck out of the hotel early one day.

It took some time but they eventually got word that Gibbons was still in Pattaya and they called the police and they caught him and so Gibbons was arrested. He had been in hiding on an expired visa. They kept him in a holding cell for a couple of weeks and then they deported him.

The owner told me plenty more. That Gibbons always portrayed himself as some kind of very wealthy and well paid executive and that he was involved in telecommunications and they learned that this was all a fraud.

He said that Gibbons still to this day owes them their money, he never paid up, and that if he ever comes back to Thailand, they are going to press charges for theft. The owner really feels badly burned.

So if you ever find yourself needing to get the straight and narrow on this. The owner told me to have people feel free to call him to confirm the events. I’m gonna do ya’ll a favor and pass on his contact details. His name is Ben at Argyle Apartments and the phone number is +66 038 250 123 and he’d love to talk to you. Ya’ll be careful with this snake, Gibbons is as slippery as an eel in an oil slick.

Now if ya’ll would just humor me for one more thought, I was thinking that Mr. Gibbons, though for sure he is a slippery one, he sure don’t catch on. They caught him in Thailand by him using the same IP address and then they caught him the same way on this forum and kicked him off for posting fake accounts and lying to try and save his reputation by the same method. Like my daddy used to say, we all should thank God that the criminal mind can never create the perfect criminal act, but sometimes you do have to pretty smart to catch the good ones. You boys on this forum did right fine with your detecting, a Texas ranger would be dam_n proud of your work. – Source

There was no rebuttal by TelephonePacific online to that statement posted in the same thread TelephonePacific had replied before.

Gibbons is reported to have accomplished telephone deregulation in Fiji and opened the way for better competition which lowered the costs of telephone services to consumers. For that he is loved by many in Fiji.

When the small United States company Telpac Ltd came to Fiji in 2001 and began selling its e-mail based telephone service locally, it not only kicked up dust in the market, its chief executive officer Tim Gibbons relentlessly questioned the way Telecom Fiji had transferred its licenses, along with the exclusivities, to Connect and Vodafone. – Source

But at some point Telpac started selling debt relief services. The BBB reports Telpac Financial Solutions opened in 2006 in Texas at 5956 Sherry Ln Ste 1000, Dallas, TX 75225-8021. – Source

Gibbons Tied to Thailand

In a video posted online allegedly by Gibbons we see a tour of an office building and out the window we catch a glimpse of the business across the street. The sign reads Adisak Equipment Co. Ltd.

This appears to be the building in this photo which is located in Phuket Thailland.

This appears to tie Gibbons to both Fiji and Thailand as alleged.

But then Gibbons does one better, he steps outside to show the area of “our first Core Fitness” in Phuket, Thailand.

http://youtu.be/xZv9qsb2O7c

Source

This confirms it is the same building.

Gibbons takes us on a brief tour of his house in Phuket where he mentions the difference in clothes he wears between Fiji and Thailand. – Source

We are introduced to the final gym and discover the name has been changed to Elite Fitness (elitegyms.net). But if you visit the site it says it is Core Fitness.

According to the EliteGyms.net website the gym is located at: – Source

28/14 Soi Bangkoo 1, Moo 2,
Koh Kaew, Muang, Phuket Thailand 83000 83000 – Source

The Core Fitness website at EliteGyms.net and CoreFitness4life.com mentions Gibbons.

CoreFitness4life.com and elitegyms.net are both registered to Mrs. Yoffe at PO Box 61359, Sunnyvale, CA 94088.

Tim takes us on a tour that he says is across the street from his house and describes it as a very affluent area without “whore salons.”

http://youtu.be/5ZJaZ-tn8y8

Source

Suva, Fiji

Alleged location of United Employee Benefits Group and National Employee Benefits Group.

Suva City Tour

Bio Fuels International Announcement

This news video shows the announcement of Bio Fuels International with Tim Gibbons, Glenn Kable, Dennis Hopkins, and Frank Eggleton.

Biofuels International

Jennifer yoffe and Tim Gibbons in front of BioFuels International sign.

BioFuels International, LLC is registered at the same business address as United Employee Benefits, LLC at:

8871 W. Flamingo Road, Suite 202
Las Vegas, NV 89147 – Source

Yet on the company website they claim to be located in San Francisco. – Source

The State of California has no company registered to do business in California under BioFuels International.

Domain Names

National Employee Benefits Group site at nebgroup.org redirects to United Employee Benefits Group at uebg.org. The domains are owned or were registered by:

nebgroup.org
Tim Gibbons
ti***********@***oo.com

uebg.org
Jennifer Yoffe
The BBB has no record of this company.

nationalemployeebenefits.org
Dennis Hopkins (he is involved with Bio Fuels International and in the press conference video above.)

National Employee Benefits Group claims to be located at:
795 Folsom Street
First Floor
San Francisco, CA 94107 – Source

Coincidently that is the same address as BioFuels International claims on their Fiji site and it is a virtual office. – Source

The State of California has no company under the name National Employee Benefits Group that is registered to do business in the state.

The BBB in California gives National Employee Benefits Group a current A- rating and lists Tim Gibbons as primary contact. They also claim to have 40 employees. – Source

Behind the Scenes of This Article

The tale of what happened next in working this story is almost as strange as the story itself. I emailed Rick Stone (Rakesh Chand) and asked him the following questions to get his response for this article.

In particular it may be important for you to address the following issues for your opinion or point of view to be heard in the article:

  1. I actually have proof you are in Fiji yet claim to be operating out of Nevada and Texas.
  2. You have knowledge of the unsolicited faxes that are being sent. See example at https://getoutofdebt.org//35093/
  3. I have documentation to support your deportation from the U.S. Do you claim you were not deported?
  4. There is no documentation of UEBG being registered in Texas according to the Secretary of State to legally conduct business there.
  5. The operation is under the control of Tim Gibbons and Jennifer yoffe Gibbons.
  6. Dennis Hopkins is involved with the possibly illegal debt relief operation being sold to U.S. consumers.
  7. Money that is obtained from U.S. consumers is transferred to Nevada, then Fiji and then Thailand.
  8. There is no evidence of consumers actually receiving the debt relief services sold. Some statement of your performance data would be potentially beneficial.
  9. The addresses in Nevada and Texas are both virtual offices and you do not work out of those offices.
  10. You are employed by Bio Fuels but conduct business for NEBG and UEBG on behalf of Gibbons/yoffe.

In response to my email I instead received a threatening email from Tim Gibbons as CEO of Bio-Fuels International who states they have “thousands of clients.” he also stated, “We have clients dating back 6 years who are debt free and on to productive lives.” That is an interesting statement since United Employee Benefits, LLC was only registered in Nevada on June 9, 2009 and I am unable to locate any California registration to do business for National Employee Benefits Group.

Gibbons stated, “Yet you spout as if having call centers around the world is somehow unusual in today’s climate.” For the record the issue of this story is not that they have a foreign call center but that the companies are not transparent in their operations and there are significant questions regarding their registrations and licensing as debt relief companies.

Tim Gibbons also stated, “In closing I find it incredible that you have not looked into the experience of the very person you have been literally been staking since December. Is it not relevant to you the 10 plus years of experience in running a major collections company.” And I don’t have a clue what he is talking about or who he is alleging ran a major collection company on his staff.

In the email from Tim Gibbons he said, “You are hereby formally notified to CEASE and DESIST all unsubstantiated comments on your blog as well as exercise extreme caution in what you take as truth when listening to those you have no way of vetting,” and “You are to cease all communications with our staff and secure yourself an attorney as you will be needing one immediately.”

My Email Back to Tim Gibbons

I am more than happy to give you a chance to answer allegations that have been uncovered and allow readers to hear your side of the story.

And if you want to pursue a non-issue, please have your attorney contact my attorney.

Chris Livingston Esq.
PO Box 220
White Oak NC 28399
910 876-7001

I have no idea what you are talking about when you say “In closing I find it incredible that you have not looked into the experience of the very person you have been literally been staking since December. Is it not relevant to you the 10 plus years of experience in running a major collections company.” Who has experience running a collections caompany and where is that company located so I can verify your claims.

It is interesting that you do not deny that Rick Stone is really Rakesh Chand who purports to be providing services in both Nevada and Texas but no mention is made of his actual location in Fiji and Thailand.

Payment /Compliance Processing Center:
8871 W. Flamingo Road, Suite 202
Las Vegas, NV 89147

Executive Division:
2800 Post Oak Blvd, Suite 4100
Houston, TX 77056

But according to the State of Nevada there is no company called United Employee Benefits Group. There is however a company called United Employee Benefits, LLC that is owned by Tim Gibbons and Jennifer Yoffe at the address above.

Despite the claims that the company is located in Texas, there is no registration to do business on file with the State of Texas for this company.

As I say in the piece, Gibbons is reported to have accomplished telephone deregulation in Fiji and opened the way for better competition which lowered the costs of telephone services to consumers. For that he is loved by many in Fiji. At some point Telpac started selling debt relief services. The BBB reports Telpac Financial Solutions under Gibbons opened in 2006 in Texas at 5956 Sherry Ln Ste 1000, Dallas, TX 75225-8021.

UBEG has been allegedly sending out the attached unsolicited fax a consumer sent in recently. The fax appears to be in violation of FCC rules regarding unsolicited faxes and claims to offer “pre-legal financial restructuring,” credit card payment reduction, home loan modifications, and mortgage balance reductions and appears to be a benefit sanctioned by the recipients employer.

Calls in response to this fax result in pitches for debt relief services to consumers.

And National Employee Benefits Group that promotes similar services claims to be located at the same address as BioFuels International at:

795 Folsom Street
First Floor
San Francisco, CA 94107

But the State of California has no company under that name authorized to do business.

Maybe there are innocent explanations for all of this, and I’d love to include them in my piece so you can be heard.

Most importantly, please send me back your FTC compliant performance claims for the debt relief services you have been soliciting. It is important for consumer to know the “success” rate you claim for the different debt relief services you are selling. If you need help determining how to calculate the success rate you can see http://business.ftc.gov/documents/bus72-debt-relief-services-telemarketing-sales-rule-guide-business

Perhaps the most puzzling question is why would someone who seemingly has gained so much with the fitness clubs in Thailand and the bio fuel business in Fiji be risking it all to sell unregistered and seemingly unlicensed debt relief services?

After 24 hours, no reply has been received.

Do You Have a Question You'd Like Help With? Contact Debt Coach Damon Day. Click here to reach Damon.


Damon Day - Pro Debt Coach

P.S. Bonus video shot by their house by Tim Gibbons that shows himself and wife, Jennifer yoffe, in the lime green top.

http://youtu.be/G9fvMryDLfg

Update 3-15-2012

Just received the following email from Tim Gibbons as CEO of Bio-Fuels International. I’m posting it online so there is no doubt that he has a chance to be heard.

Are you seriously of the opinion that you print information that is false and its my job to disprove it and because someone said it to you that you’re somehow absolved? I have never been deported from Fiji! I never was involved in a scam telcom in Fiji ( which is easily seen by googling Telpac) All of this was within your ability to vet yet you printed this garbage. Further you are banking on the concept that what my companies offer meets your definition of debt relief and therefore comes under state regs as such for whichever state they are being offered. These are giant leaps and they are reckless to say the least. I have been to the US many times and in fact was just there a few months ago for a court child custody hearing. So again you are printing extremely false statements from an admitted criminal that is involved as we speak in criminal fraud. You are painting an image of me that is unfounded and it is done so with reckless disregard. If you think I am going to just sit here and allow you to disrespect me and my wife you are insane Rhodes. My attorney will be in touch with your attorney and he himself will be able ot testify to my physical presence in the states as I have just as many financial interests there as abroad. You have seriously crossed a line that a retraction wont even let you off the hook of at this moment. But as an officer fo Biofuels International I am telling you that you are posting stolen proprietary information that is not at all supporting a single claim that you make. Those documents stand on their own as employees of Biofuels International and have nothing to do at all with any of the debt relief services. surely you are not so ignorant as to see that we are not at all hiding our lives or our investments. we are very proud of our commitment to energy and quite frequently talk about these organizations with our clients as to why I work so much abroad. We do not advertise our Fiji call center on our website simply because it equates to a fraction of the communications performed for our companies. I don’t find that sinister at all as no company I know of advertises their india call centers such as FORD or GM.
The real issue here Rhodes is where are the victims here. Clearly your former employee will tell you that we have more than a 1000 active clients. While keeping everyone happy is always our pursuit its not logical. What is a fact is that not one has ever filed litigation or found any cause that leads to the word scam being used ion the same sentence as our company. So why all the effort on your part when not one former client has raised any flags to the point an ongoing scheme is among us?
I demand you pull this crap down and I’ll calm down enough to maybe work through a few conversations with you but this all needs to come down today. In exchange for that Ill provide you with the employee details so you will see that you were deceived. Ill show you the fraudulent letter that got her and her paralegal boyfriend caught by the Embassy as well as a copy of her termination letter that shows what she is in trouble for.
No matter how you cut this Steve you are well past defamation here and if this is not pulled down today there is no turning back that I can assure. One thing that is obvious here is that I have vast resources and if you are found to be guilty of defamation you have to realize the impact of every minute you left these horrible lies up after being told the information is factually incorrect. No media exist at all to support deportation yet there are more than 50 articles stating our battle in Fiji. we took on gov head on so how the hell could we be a scam. This is simply reckless and you allowed it to be printed when you had the ability to find out it was false… That’s the facts. There are no laws that protect against that neglect Steve

My response back to Gibbons:

I have updated the post with your statement so readers can hear from you.

If you can take a deep breath, it is probably more logical for you to simply respond to the allegations the tipster (send in your tips here), not me, raised. My questions raised are very simple and sourced regarding registrations and organizations.

I would imagine future potential clients would probably rather see you responding without threats and address the issues raised and that can give you positive PR.

Pick a point I made and I’ll gladly post your answer to it on the story for reader to hear from you. I’m also happy to make any correction or fix anything I said that was in error.

Would you like for me to send you a bullet point list to answer?

The tipster (send in your tips here) bears the responsibility for their comment but I urge you to respond, in a level headed way, to any point you feel the tipster (send in your tips here) submitted that is in error as well.

You will see the story actually sources the story that says you had been detained, not deported. if you feel that is incorrect as well, please respond.

Update 3-16-2012

Another updated message from Tim Gibbons. Again, in the interest of fairness I’m publishing it here.

You are printing defamatory comments that can easily be verified as fictitious. You are hiding behind a person you call a tipster (send in your tips here) that offers no means of proof about any of these allegations. I have consulted not only our legal teams sir but outsourced it as well and I am being told that you have seriously crossed the line. I have no obligation to answer any of your questions as you have not produced anything that warrants us defending. You have no victims yet we are being shown in a light that is defamatory to say the least. Not one shred of evidence supports anything you allow to be stated. This is far from you stating a tipster (send in your tips here). I am responding as Tim Gibbons yet you have no one standing up for these statements. Your raskesh Chand that you show as being deported is not the Rakesh Chand that works for us either. So all of your story is completely false my friend. The burden of supporting such statements falls on you not us. We are compiling the evidence now that will deal with you in a formal filing more than likely resulting in an ex-parte order to start. Our attorneys are contacting your attorneys shortly.
In regards to telling me to respond calmly you are sadly mistaken if you think I will calmly address issues when I have a wife sitting here humiliated and crying over these kind of allegations being said about her. Have you no shred of decency. Has it escaped you that even your tipster (send in your tips here) alludes to hundreds of clients yet none of them ever citing us for defrauding them. Has this not raised your eyebrow. That speaks volumes not your opinion on speculating as to what those relationships are.
Your tipster (send in your tips here) you can not even verify as legitimate. She wont even disclose her real name to you even though we know who it is you do not.
Lets be clear about something. People pay for a service that is productive for them. Who the hell are you to tell them or us otherwise. Do you knot know the lobby that stands in the way of people getting real information that helps them. If you had any sense at all the reality that our people get results and dont go crying to regulators even with things not necessarily always going their way speaks bigger volumes about us even if your assertions were correct. Lets face it, isnt your site there to keep people from getting screwed over and taken advantage of. well if you don’t have people screaming then whats that tell you. Are you so arrogant as to say you know better than them. Surely you have been around long enough to know that when people dont get their value they raise all sorts of hell. Factor in a company that is potentially deceiving people and PEOPLE have AG’s, FTC and all other options not to mention BBB and others. Yet we don’t appear on any of those radars. You have to ask yourself why? You have been writing about us for quite some time yet all you can complain about is a fax you call unsolicited. Yet in all your rants and writings not a single person screaming they were scammed. So Steve its you that needs to listen to your own blog. There are no victims rallying behind you Steve. This is where somehow you have lost your way. what I am sure started out as a legitimate endeavor in having this blog has turned into a vicious witch hunt that exposed nothing but the fact you have lost your way my friend. Since when in your history has anyone had to prove a lie is a lie as opposed to the truth being supported by facts. You have no victims Steve, you have no client complaints, you have no one calling foul. If you had, then you had an insider showing where things were done inappropriately that would be a matter worth addressing. BUT that does not exist here. What you have is an admitted crook you call a tipster (send in your tips here), that has admitted to felony theft of more than 500.00 from our company, admitted to fraudulently using company letterhead to make false statements to the US Embassy ( and is now barred from the US) that is about to be arrested under these very charges that stole information she was not ever authorized to have access to ( that is all legal and legally run and registered) in an attempt to open a company to compete with us upon her entry into the US. You have allowed her this platform to defame us without question even though we have told you that all this is false and most of it is public information that you could have verified before printing ( such as warrants and our entering the US). Further, you never once reached out to me to ever attempt to get the truth before posting any of these despicable untruths. The fact you never attempted to contact me before running this is just a highlight to your unscrupulous behavior. Especially when mentioning innocent people like me wife who you have no idea her role in any of these companies. You think for one minute I owe you something like a response. Look Steve you need to do some serious evaluating of your principles and try and remember what your goal is here. Is it to victimize people you may not understand or to protect the public? Everyone gets sideways from time to time but its time to take a serious inventory and get real here. You are hurting some innocent people and for what? Your gut?

Fiji News

Update November 10, 2014

A reader said I left out some information and provided a link to this court ruling 968 F. 2d 639 – United States v. B Gibbons.

author avatar
Steve Rhode Debt Coach and Author
Steve Rhode is the Get Out of Debt Guy and has been helping good people with bad debt problems since 1994. You can learn more about Steve, here.

14 thoughts on “Debt Relief Companies of Tim Gibbons and Jennifer Yoffe Not What They Seem”

  1. I am still waiting to hear from Angela Kidd on a credit card relief program that Rick Stone sold me on. He is a very good salesman and I will be happy to let you know if I am one of Tim, Rick, and Angela’s victim or not Monday evening June 18, 2012. 

    Reply
  2. I generally don’t engage in posting on circumstances that don’t directly involve people I personally know, but I would like to add some clarity and my personal OPINION. I do not know Mr. Gibbons or his colleagues. Love him or hate him, Steve Rhodes has done some fairly incredible things in the industry. Sure, he can come off as a “hater” and sometimes his assumptions turn out to be nothing more than a misunderstanding that helps all parties involved better improve their public perception and business practices. I have had a few heated debates with Steve myself as we sometimes stand on different sides of an issue. It has often helped me to see the “other side of the coin” and assisted me in seeing the challenges from a different perspective. Those clarifications are extremely helpful in the process of business and industry evolution. Like it or not, there are a LOT of shady characters involved in this industry. Sometimes they are simply misguided players and sometimes they are outright greedy and malicious in their actions. There have been MANY times that I have dropped my jaw when I find out through Steve’s investigations that a person I knew (or thought I did) was operating in a deplorable or “shady” way. Everyone talks a good game and sounds credible until you see the fruit they bear in their lives. I have been taken advantage of myself in this industry and have realized on many occasions that the people I thought I knew, I really didn’t know at all. That said, I understand the need for solid consumer protection protocols and a transparency based system. Most of the time, a company that the consumer engages is not the company providing the service at all and sometimes there are SEVERAL entities involved muddying the water even further. There are entire networks of companies and affiliates engaged in strictly “money making endeavors” in this space. Getting to the bottom of these webs and knowing whose involved is extremely important. In this case, what strikes me up front is the fax itself. Let’s be very honest with each other. The fax itself is deceptive. It does NOT clearly identify who it is from and what is about. It leaves an impression on the consumer/end user that isn’t exactly forthright. These types of mailers and faxes have been frowned upon by the regulators from the first time they were used. They just aren’t honest. If I were in Steve’s shoes and received information from someone (regardless who they were), stating that there was a potential consumer threat, I would have started investigating it further as well. Finding a deceptive media campaign would have triggered my instincts on it as well. Add operations purportedly from another country and additional commentary from outside sources lending credibility to the allegations, I would have drawn some of the same conclusions. Let’s say for instance, all the allegations are absolutely false. At least this forum gives all parties a chance to publicly interact. What if the “tipster” instead, used the “Whistle blower Forum” through the CFPB. Now the courts and federal regulators would be the deciding force and a lot of money would be spent trying to substantiate the claims made from the mailers. According to the new UDAAP procedures, you would need to provide a whole lot of backup in regards to proving that you were doing everything in your power to ensure compliance with regards to consumer protections from fraud and deceptive practices. Just looking at the fax being sent out, proving that you are carefully monitoring potential “deceptive practices” would fail the test. That said, in order to operate in this industry, at this current time in our history, you should be running a clean, transparent, hands on operation. Any way you look at it, the CFPB is about to “clean house” in a way that is absolutely unprecedented. I don’t think Steve was misguided in this reporting, and I think at it’s very least, the marketing needs to be cleaned up and the business locations and operational roles need to be more transparently clarified. It always strikes me when people involved in these reports act aggressively and threatening. It makes the whole situation much much worse and makes you look guilty even if you aren’t. I take 3 clear examples of that. 1 being Corey Butcher’s responses, 2 being Stephen Marcus’s responses, and 3 being Alex Viecco’s responses. All of these guys came out looking great and the PR they generated by being kind, humble, honest and transparent gave their companies even more credibility. If you just engage in the process and post honestly, clarify the challenges and make your case, things work out much better from a PR standpoint. I have had my position challenged by both Steve and Damon. It didn’t offend me at all. I don’t hate either one of them. As a matter of fact, I like Steve and would even consider him my friend, despite our heated disagreements. Can’t say that for Damon yet. (Just ribbin’ ya, brother, lol). If people never challenge your position, how can you show the world where your heart is on an issue. Debate or even direct challenge is a great way to test the character of the parties involved. It certainly can shed light on a subject and clarify positions. Look, the industry is a mess and there are a great many people that truly care about the consumers we serve and it is important that we have accountability with one another. If you are beyond/above reproach, you’re probably doing things right. Everyone in the industry needs to practice as though you work in a glass office and everyone is watching your every move. In the end, if you don’t, you will have your life publicly displayed when the FTC of CFPB comes a knocking and puts out a press release on your company. In summary, Steve has done a great job in exposing the companies that are acting inappropriately, shady or just non-compliant. It’s only natural that there will be a good company or two that takes some shrapnel. If you’re legit, respond as such and answer the questions. People are watching.

    Reply
    • Matt,

      You brought up a number of excellent points. One in particular that I would like to clearly respond to are the statements about me getting something wrong. I appreciate you putting that out there.

      It is never my goal to intentionally get any fact wrong. In order to support my statements I typically post links to supporting documentation or saved files of the information I relied on so everyone can look at the supporting documentation and evaluate the accuracy of the statements made.

      I even make a form available of the side of every post to encourage people to report any error they might find. I address those issues promptly.

      And I agree with you completely that there may be a plausible explanation for all the inconsistencies and issues I raised. I think I, like you, would feel better with some straight answers. If something does not seem on the up-and-up I welcome being proven wrong on a sourced fact.

      I also held back in this piece and have more documentation and details I could have published, but did not. For me, those potentially smaller issues are less important than the bigger ones like, are you even registered to do business as you claim?

      I want to be clear again, as I was in the story, that I’m not calling UEBG shady or a scam. The tipster made some allegations, not me.

      I raised a number of questions that the company can elect or not elect to answer. Like you, I would prefer that the company answer them quickly and clear up and misperceptions and that can create a positive impressions.

      Steve

      Reply
      • I think that one of the biggest missing pieces in the space is transparency. No reputable company should ever be afraid to open the veils. If there is reason to keep anything in the dark, than there is something to hide. If everything is on the up-and-up, then anyone should be able to shine the light on the company and the company should have absolutely no reason to fear. I think of you and your site as a lighthouse. If the light shines in the harbor and lights up a ship, we need to know who and what it is. If there is an American flag on the ship and the appropriate identifying numbers on the side and checks out, then all is good. If the ship is dark, has no flag and no identifying numbers, then we need to send the Coast Guard out to take a closer look. If the crew won’t allow access, then something is wrong and action needs to be taken. Worse, if the crew takes shots at the approaching ships, it’s probably time to hit the alarm and have the Navy take it down by force. Likewise, if a cop lights you up with his flashlight, you shouldn’t run in the house. If you are not the “bad guy”, you generally approach and cooperate. In any event, Steve, I think you did the right thing in this case and have opened up a lot of “grey areas” that still need answers and clarification. It’s up to the company to respond appropriately with more information. If their numbers check out, then I would assume you would post the information, update the page and move on. If you waited for every tip to pan out until you had all the information, then bad acting companies could potentially take advantage of a lot more people and more collateral damage would occur, darkening the “black eye” the industry has and damaging the reputation of the credible firms out there. If law enforcement receives a confidential tip and after preliminary research finds reasonable cause to look closer and even to sound the alarms, it isn’t their fault for doing so even if their findings conclude no wrong-doing. It’s a case of better safe than sorry. Especially so if there are people that can be harmed by not raising the questions. I would like to know which attorney approved that marketing piece and which marketing firm is “selling” that lead product.

        Reply
  3. Hello Mr. Gibbons,

    I’m Chris Livingston and I represent Steve in this matter.  Litigation may not be your most satisfactory option, as I stand ready to defend Steve to the ends of the earth.  Like Steve says, federal law pretty stiffly protects service providers from liability for what people post.  You’re always free to respond with your version of things, as you already have.

    Keep in mind that two industries in which you participate–green energy and debt relief–have many good companies doing valuable services for fair prices, but there are also a disproportionate number of problem players out there.  uebg.org advertises “loan modifications,” “credit card settlements,” and “foreclosure prevention.”  The Federal Trade Commission urges extreme caution when seeking such services, and many states flatly prohibit for-profit debt adjustment.

    Since you invite people to Google Telpac regarding being deported from Fiji, I did so and found http://www.rnzi.com/pages/news.php?op=read&id=12187, a story from Radio New Zealand International in 2004 indicating that you were banned from Fiji.  Maybe this is not true or no longer true or was done unfairly.

    By all means, post your concerns, corrections, and questions here at every opportunity.  Thanks, Chris L.

    Reply
  4. Where are your victims mr. Rhodes. All this bs about our legitimate operations yet not one person saying they were deceived or lost money. Your a scam, a liar and only state fraudulent accusations based on some facts. Biofuels international is a Fiji registered government supported project and has nothing to do with nebg at all. Our money that funded this is not at all tied to nebg, uebg or otherwise. We operated as a small company, sole proprietor 6 years ago and grew to more than 1000 clients ( none of which has ever filed a lawsuit or claimed illicit activity). So why all this interest i’n our operations when no one has complained of misconduct! You have stolen data from biofuels international from a person under criminal investigation for theft they have already admitted to and this your sole resource. You are reckless, irresponsible and we are taking you to task sir. Our gym is a private investment my family has been involved with for years. As has been the case i’n investment banking, mortgage banking and other investments!
    Has it escaped you that your the only one screaming and mo one is with you. That’s because unlike your scam RAg of a publication we get people results. Let’s see if you post the litigation about to be rammed down your throat. Your a fraud rhoades. FYI, I have never been deported from Fiji, we were a legally registered telcom that took a corrupt government head on. We suceeded in crashing rates 70% overnight in this country and the government that opposed that was overthrown shortly after. These are all easily researched you moron and had you done your homework istead of listening to a terminated crook with absolutely no supporting evidence other than unrelated stolen documents that none of those revealed documents support a word of your silly elementary allegations. If you called the US Embassy i’n Fiji you would find that your source is barred from even applying to the US because of the fraud we exposed as they tried to use our credible company ( well respected here as the video you provide demonstrates) to secure their visa. Further if you would have done your homework you would have found that they attempted to steal our corporate information because of their attempt to open a competitive company i’n the US. This was foiled i’n the discovery of illegally accessed files by this former employee.
    In regards to virtual offices you again failed to identify what the purpose of those offices were. Las vegas is a processing center for large amounts of physical mail. We have staff throughout the US as well as abroad but to have the most experienced specialists means you have to be operating throughout the US as the best are not remotely concentrated i’n a single zip code. Hence a state of the art voip network that connects us all at a touch of the button.
    In short what we are talking about here is your inability to understand our operations but the reality is we owe you nothing. You have no victims yet you scream we are somehow a feud or bogus. This is where I am taking you to task. We have been vetted i’n what we offer and meet state regs i’n all 50 states. Yes we received a Cease and Desist i’n offering modifications i’n Ca when the new law came out and our old contracts needed to reflect the new language. We complied i’n making the correction i’n clarifying the service and it’s been business as usual. Hence that means no violation sir not some sinister finding of fact against our company. Even i’n that document Mr. Rhodes there were no victims. So where is your issue Mr. Rhodes? Who have you helped? We will continue to do what we do and you sir sit there helping no one.
    I’m the meantime be sure and post the lawsuit for libel with malicious intent as well as conspiracy charges we will be filing against you and your rag blog

    Reply
    • I gave you an opportunity to respond to the allegations raised in the piece and heard nothing back from you or your lawyer. I waited 24 hours before publishing the completed piece.

      I stand by my offer to publish any response but I think your comment stands for itself and give you the voice I asked for.

      You also failed to clarify some rather important points about not being registered in Texas and California. Can you please provide me with some way to find those registrations. If you can, I’ll be happy to update the article.

      You’ve also not disputed the documents that were supplied to me by the tipster or many of the other facts sourced in the article.

      I want to state your side of the case but specifically, what are you claiming I posted that is not correct?I’m happy to address those issues point-by-point.

      Actually people are complaining. That’s why they sent me the faxes UEBG is allegedly sending out. Do you deny the fax shown or the similar one received by the State of California came from UBEG?

      I have no idea who the anonymous source of the documents was so there was no way for me to check.

      However before publication I did reach out to Rick Stone at UEBG for clarification and instead got back an email from you at Bio Fuels.

      I think I did identify what purposes Rick Stone claimed those offices were for, processing and executive. But I can’t find any support that UEBG is registered in Texas. Please provide that information if I’m incorrect.

      Please forward a copy of your new contract and I’ll gladly post it for people to see it.

      Regarding being deported from Fiji, that is the statement of the tipster, not mine. What I did locate online was this information allegedly from Fiji News that was not published in the story:

      Fiji News
      TELPAC boss detained
      4/3/2003 10:52:22

      TELPAC boss Tim Gibbons was detained at the Nadi International Airport yesterday after being told he was an illegal immigrant.

      He was in custody for almost an hour before a court order allowed his release. Divisional Superintendent Western Arjun Singh said he was not aware of the incident.

      Airport security officials confirmed Mr Gibbons’ detention.

      He is expected to issue a statement today.

      Do you have the alleged statement that was issued that I can post?

      Reply
    • Tim,

      I have updated the story with your latest email so your positions can be heard. I am happy to discuss your points openly. But what strikes me off the bat is your statement “…when I have a wife sitting here humiliated and crying over these kind of allegations being said about her.”

      What allegation did I make about her? It seems the points that involved her indirectly can be easily answered by you. Is UEBG registered to operate in Texas. Is NEBG registered to operate in California?

      I think my statement that she has a link to BioFuel International is not in dispute,

      The only allegation the tipster made about your wife was, “The directors Mr. Tim Gibbons and Jennifer Yofee Gibbons both reside in Thailand and from time to time they visit Fiji to collect cash transferred from NEBG account to Bio fuels account.”

      So is it untrue that your wife visits Fiji?

      It is untrue that one or both of you transfer NEBG money to the Bio-Fuels account?

      Reply
    • I am waiting until June 18, 2012 at 6:00, to hear from Angela about my pending problems with Bank of America. After that time I will be able to contact Steve Rhode to let him know if I am or was a victim or a grateful customer.  

      Reply

Leave a Comment