What Do You Know About Real Solutions Consumer Counsel? – D

“Dear Steve,

I am looking for a real solution- and this shows up in the mail.

D”


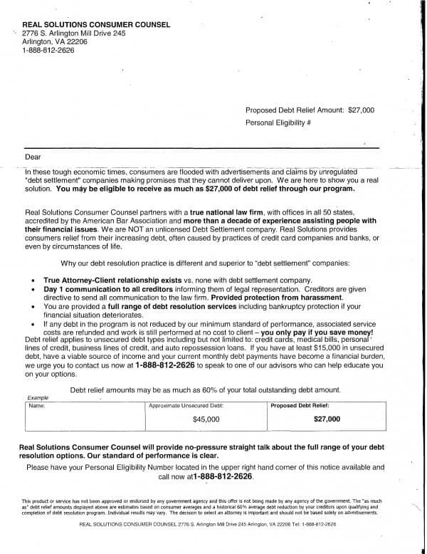
Click image for larger view.

Dear D,

Before this I had not heard of Real Solutions Consumer Counsel. Let me review the letter you sent in with your email.

It appears that the data used to generate the letter may have come from a credit reporting agency. If so then there could be some real issues with the letter since it seems to promote legal services in all states. Recently in this article a lawyer commented that in Florida the use of this type of marketing creates a problem for the lawyer. The commenter said:

As an attorney I choose to remain anonymous but I was analyzing the letter/advertisement/legal law letter sent out by this Oliver Law Group posted here:

The Oliver Law Group, Another Law Firm Pitching 18% Fee for Debt Settlement. But This Time With a Loan.

What strikes me as illegitimate is the following.

1. The Florida Bar rules of Advertising state you must disclose where you obtained the prospects data:

see Rule 4-7.4 b. 2 (I)

Now the letter, instead of putting this specific in detail, places it on the back in the first box stating “from third parties”.

yet;

2. They are including the “pre-screen opt out notice” as per the FCRA for credit data used making a Firm Offer of Credit. Specifically placing the names of the 3 major reporting agencies in the 2nd box on the back. Equifax, Experian, Transunion. YET they are obtaining this data from an undisclosed 3rd party and not from the 3 Credit Agencies directly(why else would you need 3rd party, disclose this 3rd party).

3. Lawfirms and attorneys are NOT approved to buy pre-screened credit data from the 3 reporting agencies (please call them and confirm yourself) and that data is mainly used by mortgage companies or credit card offers who make a real firm offer of credit at an APR substantially higher than 0%.

My conclusion is that the data is not obtained through proper channels and this smoke and mirrors letter is abusing the use of the clients personal data.

The Florida Bar would not have approved this. Doesn’t seem Kosher to me.

Thanks.

In searching the web for information on this company, I can find no website or other support they are a company that has been around for a while. I find it suspicious that they partner with attorneys in all 50 states but there is not one single mention of this company outside of this site. Very odd.

According to Google the building above is the address related to the mailer. With a little detective work I found the address is actually a UPS store mailbox and is shared by American Debt Initiative, and Resolution Initiative. Now there is a big red flag. How many companies do you know of that have attorney partners in all 50 states and operate out of a UPS store?

Do You Have a Question You'd Like Help With? Contact Debt Coach Damon Day. Click here to reach Damon.

So as I go down through the mailer it seems the company Real Solutions Consumer Counsel is not a law firm but probably a marketing company that has some affiliation with some firm. If that is the case then Real Solutions Consumer Counsel would fall into one of those “unregulated debt settlement companies” they talk negatively about in their letter.

The letter says the company works with a law firm accredited by the American Bar Association but all I can find that the ABA accredits are law schools.

A claim is made the company, Real Solutions Consumer Counsel, is not an unlicensed company but I can find no evidence they are actually licensed or even registered with the State of Virginia to legally do business.

According to the new Federal Trade Commission rules that will kick in on September 27, 2010 it appears some of the statements made in the letter would then be illegal under the “Good Faith” marketing sections. You can read about those here.

My advice is to run away, don’t contact them, and keep looking for help.

Please update me on your progress by

author avatar
Steve Rhode Debt Coach and Author
Steve Rhode is the Get Out of Debt Guy and has been helping good people with bad debt problems since 1994. You can learn more about Steve, here.

Leave a Comment