A reader forwarded me a client agreement by a company called Pure Solutions, Inc. The company says it is located at 76 Cranbrook Rd, Suite 249, Cockeysville, MD 21030.
The consumer was being charged around $14,000 for the company to send out less than five debt validation letters.
A few minutes of looking around and reading the client agreement left me scratching my head. I’d love to hear from you in the comments below if you have any observations as well.
I first went to the State of Maryland where the company says they are located. The State says the company was dissolved in 2014.
The BBB says a company named Pure Solutions, LLC is located at the same street address. No LLC by that name is registered in Maryland. The BBB reports the company website is yourpuresolution.com. – Source
The Pure Solutions website shows the company to be located on Cranbrook Rd and also lists the address as 2254 Moore Street, Suite 2014, San Diego, CA 92110.
The BBB logo on the top of the page links to this listing. – Source
That BBB listing conflicts with the BBB logo status on the top of the Pure Solutions website that says the company is accredited. According to the BBB their accreditation was revoked on September 16, 2015. – Source
The BBB provides the following information: “On 9/16/2015 this business’s accreditation in the BBB was revoked by the BBB’s Board of Directors due to its failure to adhere to the BBB requirement that Accredited Businesses meet and abide by the following standards: 6A. Promptly respond to all complaints forwarded by BBB by: Resolving the complaint directly with the complainant and notifying BBB, or Providing BBB with a response that BBB determines: is professional, addresses all of the issues raised by the complainant, includes appropriate evidence and documents supporting the business’ position, and explains why any relief sought by the complainant cannot or should not be granted. This business is not BBB accredited.”
The BBB says the owner of the company is Brian Mir. The State of California does not have an active registration for Pure Solutions, Inc. that I could find.
According to the Pure Solutions website they describe themselves by saying, “Pure Solutions, a document preperation company, delivers a fusion of solutions that encompasses consumer protection document challenges throughout the United States. Pure Solutions was developed from the viewpoint of the consumer, focusing on compliance, customer support, and adapting to industry changes.” – Source
While the company lists a wide range of other potential services they offer, the focus seems to be on this document preparation challenge. I mean how are you going to challenge your own application for citizenship or a green card?
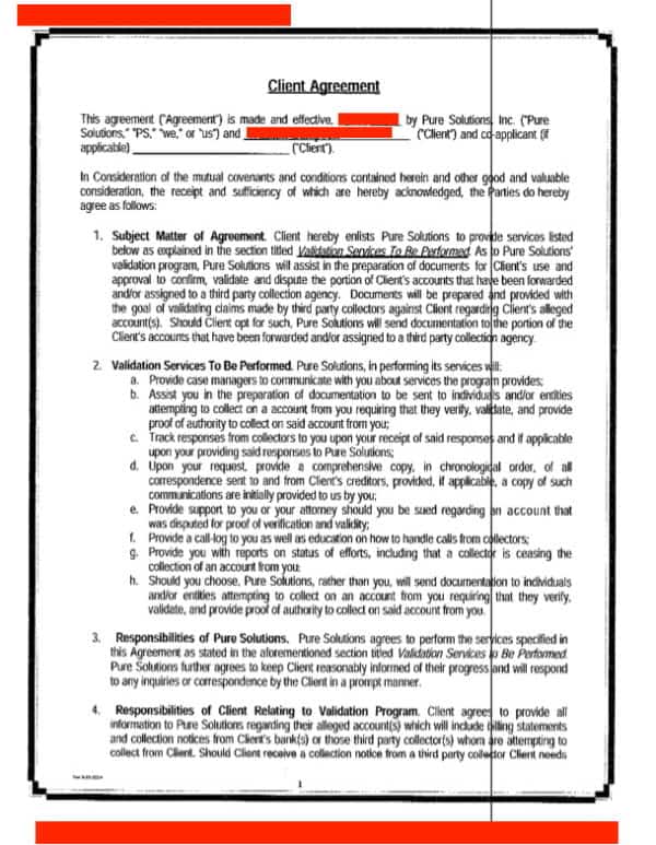
So let’s take a look at the client agreement.
This page says the company will be performing “Validation Services” which appear to include the preparation of debt validation letters and the receipt of replies from creditors.
But debt validation letters that are available for free online from a wide variety of places including the Consumer Financial Protection Bureau.
This page says the refund policy is a refund is only available if the accounts are fully verified by the collector. But doesn’t that seem a little backwards? A refund is available only if everyone does what they are supposed to do?
This page also mentions a company called ACE Business Solutions as a payment collector but I could not find any additional information regarding the identity of the company in the agreement.
The fee for the sending of the validation letters was around $13,000.
Ironically on this page the company requires the consumer to waive any claims they may have against Pure Solutions for violations of the Fair Credit Billing Act, Fair Debt Collection Practices Act, and the Fair Credit Reporting Act.
On this page Pure Solutions says they provide no legal representation or debt relief services. So for around $13,000 the consumer gets less than five debt validation letters sent out? The agreement says in bold words, “This Agreement is not for debt relief services, and no debt negotiation, settlement or management services are provided by Pure Solutions to Client.”
Then the company appears to ask the consumer to waive their rights under the Telephone Consumer Protection Act.
Finally, we see a payment schedule for services that begins on day 1.
I would love for you to click on the client agreement pages above and read the agreement to make sure I described the services they were offering, correctly.
I’ll also send an email to the company and asked them to review this posting and notify me of any errors they see.
Interesting Side Note: Clearing Solutions
Another company named Clearing Solutions, Inc appears to offer a very similar set of services and is using a client agreement that has some sections that appear very similar. Clearing Solutions says they are located at 1810 J York Rd, #382, Lutherville, MD 21093. The BBB has a listing for a company called Clearing Solutions, LLC with an F rating and consumer alerts. The alerts says, “In March 2015, BBB contacted the business regarding a pattern of complaints filed with our organization. At the time, the business representatives indicated that the business was in the process of transitioning their ownership and attributed the pattern of complaints to these changes in the company.
Over the course of the next few months, however, the pattern of complaints continued and the overall number of complaints filed increased. In September 2015, BBB contacted the business and requested a response to the pattern of complaints.
Do You Have a Question You'd Like Help With? Contact Debt Coach Damon Day. Click here to reach Damon.
Specifically, BBB consumer complaints allege:
*Poor customer service
*Failure to provide contracted services
*Confusion about the services provided by the business (consumers believe the business will attempt to settle debts and/or issue payments to creditors)
*Consumer’s financial situation deteriorated due to failure of the business to perform contracted services
*Deceptive advertising
To date, the business has been unresponsive to this request. – Source” – Source
The BBB says the CEO is Craig Beling, the Complaint Contact is Bill Frado, and the Chairman is David Glenwinkel. – Source
As an interesting coincidence in searching for information on this company, it appears the address for Debt Defense Services, listed by the BBB, is just one mailbox over at the UPS Store mail drop. – Source, Source
According to the State of Maryland, Clearing Solutions, LLC is a registered company in Maryland that was formed in 2013 by Greenspoon Marder. – Source
The interesting point is the client agreement is between Clearing Solutions, Inc. and not LLC. There is no Clearing Solutions, Inc. registered to do business in the State of Maryland that I could find.
Update November 20, 2015
Someone alerted me that another company using this approach is using the name Flying Point Financial/Clearing Solutions and the client agreement refers to FPCS. I did find one person online who confirms the name. – Source
I also hired this company in 2015. After I paid them a little over 12,000.00, I started getting served with court payments for unpaid debt. Basically I lost all that money and no debt was ever paid. I had to then hire a attorney to represent me and had to file chapter 7. Anyone paying money to these company’s stop the payments, or you will end up like me.
Hi. My father was just scammed by the company Provident Solutions, doing business as CWB Business Enterprises, LLC also Ace Business Solutions out of MO. I already filed a complaint with the FTC, but I looked up the address online and spoke to a nice lady who used to live at the address they listed on the letter my father received. She told me she sold her house to a guy named Carl Barnes and he bought the 40 acre farm, plus two adjoining houses in cash, one for his son. They moved from Nevada. My father is a senior and has been paying them $500 a month for the past three months. We caught it early, thank god but I wanted to let everyone know they are back at it under that name. The website they are using is http://providentsolutions.org
Can you please contact me!!! I just signed up with this company and I am scared!! This is the only thing I have found so far regarding this company!
The advice in this post should help you resolve your issues with the company. https://getoutofdebt.org/20126/how-to-try-to-get-refund-from-debt-relief-company
Stop payments to them. Close your account at your bank. I got scammed from them at lost 12,000.00. Had to file chapter 7.
FYI, these people are at it again under the name “Reliance Solutions” – get the pattern? They use a website called reliancesolutions.org with a worthless client portal called reliancesolutionsclients.com with fake updates. Same company payments collection company located in Henderson, Nevada “ACE BUSINESS SOLUTIONS, LLC”.
If you do some investigation, you will find that this is all a long string a scams going back at least 9 years with companies like “Clear Solutions” from your other post here https://getoutofdebt.org/100312/clearing-solutions-consumer-complaint-november-15-2016.
Now, you can’t find any info on the fake cover company “Reliance Solutions”, but I did find that reliancesolutionsclients.com from the business packet and “ACE BUSINESS SOLUTIONS, LLC” are both registered under the same person and address:
Carl W Barnes
Organisation: ACE Business Solutions, LLC
Owner: Carl Barnes
Owner Address: 1911 Ginori Ct
Owner City: Henderson
Owner Postcode: 89014
Phone Number: +1.7024981357
Also, if you search in Nevada’s business registry (https://www.nevada-register.com/875573-ace-business-solutions-llc) you’ll find that the other partner is Sandy L Barnes, who in ripoff reports website was involved a loan modification processing company (scam) Sandy Barnes DBA Ace Business Solutions. That caused someone to lose their home to foreclosure by convincing people not to pay their mortgage.
I am a lawyer in Georgia. I have clients who were scammed by Flying Point Financial aka FPCS, Inc. My clients are elderly and do not have a copy of their original contract and are unable to explain to me how they fell into this fraud. I need people here to share with me the marketing to which they responded to fall into this fraud and any contracts they may still have with Flying Point Financial and/or FPCS, Inc. I also need to understand the relationship of Flying Point Financial and FPCS, Inc., to Burlington Financial to which Flying Point Financial and/or FPCS, Inc., refers people who have been sued. Burlington was the subject of a consumer enforcement action brought by the District of Columbia’s Attorney General: https://oag.dc.gov/search?fulltext=Burlington … Please send all marketing materials to which you responded to df********@***il.com Thank you.
David, please feel free to contact me regarding FPCS. I was an human capital director there for only a month and left due to the unethical business operations I witnessed. I would love to help you gather whatever information you are looking for.
A. Rebecca, please contact me at df********@***il.com
Can you help me! I think I have been scammed please.
You should read my guide at https://getoutofdebt.org/20126/how-to-try-to-get-refund-from-debt-relief-company
I am a twice cancer survivor and during my treatments an agent from my bank referred me to this company in late 2014, I paid near $8000 to Pure Solutions by 2016 and I thought all is well with my debts. I was sued by a creditor in 2017 and now I can not locate Pure Solutions, please someone help me….my money is gone and I’m facing nearly $30,000 in debt and penalties by my creditor…
It sounds like it is time to talk to a local bankruptcy attorney and get a fresh financial start.
oh wow, i am sitting here reading this and im sick!!! i feel i also have bn scammed by this company..i have paid them and they constantly called and gave me updates..now i just received that i am now bn sued by one of the companies and continue to try to contact them and nothing..HELP!!! What are my options to get this resolved?? my family fell on a hard time from a loss of job and had no choice to use credit cards to survive..now i thought things were gonna be better and now this..same situation and being sued
Probably time to talk to a bankruptcy attorney so you can move forward with your life.
I wonder how many innocent people are scammed like me?
I went through the same thing with pure soulutions I did everthing they said istopped paymen they did pay two of my cards but iwas paying everymonth one day I called I even faxed them there not in business then all of a sudden these creditors were going to sue me so I had to one of my credit cards 5000 dollars made payment arrangements ok that’s done so now I pay a couple more monthly installments I could not believe this I learned a big lesson its sad that people can do this then they go and change there name and do it again to people there no where to b found they are a scam so don’t expect anything I was so upset but I learned a lesson my self what comes around goes around they will get caught one day the lord will take care of them one day yes I was being sued by 3 creditors so I had to pay monthly installments I got a hardship from them I’m on disabilityso that was ok but all the money they take from so many people
the only way I got one payment back the day I went is the day they took my payment cause that was the day pure soulutions took it out something told me go to the bank that day cause they tried the fax number too and phone number to so I got back one payment but still had to put more money out of my pocket
no more to say
I believe I am being scammed by this company also. When I first signed up they were Flying J, now they go by Burlington. Financial group. I have paid almost $14,000 to this company with no results and am now facing a wage garnishment suit from Discover. Burlington rep, Mr Jason Leavy tells me to ignore calls from Discover and to ignore the court date. I am frightened. Before singing up with this group I had high debt but had never ever paid anything late. Now my credit is ruined and the threatened block on my checking account may cause me to go out of business. My court date is June 22. Do I need an attorney? Or do I go and represent myself
Get a lawyer who can best represent your legal rights.
I am happy to announce that I have received every dollar back from Pure solutions with the help of Nevada Consumer Protection Agency!
Thank you so much for the update. Good news.
Hello,
I am now faced with this same situation with Pure Solutions. I was sued by one creditor and that was the only account they would refund. Could please let me know the steps you took to getting your money back!!!
Hello BBB fan,
I am now faced with this same situation with Pure Solutions. I was sued by one creditor and that was the only account they would refund. Could please let me know the steps you took to getting your money back!!!
Can you tell me the how you got your money back? I was also scammed.
I am sick to my stomach as I read this. I have been a victim of Pure Solutions. They are located in South Nevada. I have contacted the BBB in S. Nevada and Pure Solutions has never responded. I want my money back because nothing was ever removed from my credit report.